全部版块 我的主页
论坛 计量经济学与统计论坛 五区 计量经济学与统计软件 Stata专版
4238 7
2014-05-20
大四生一枚,毕业论文做非对称价格传递的相关,看了一些文献决定采用误差修正模型(ECM),最近各种渠道狂补计量知识(本科上课没深入讲时间序列这块),无奈太弱还是很多不明白,遂来求助。
总结了多篇文献的做法:第一步,平稳性检验;第二步,协整检验;第三步,建立误差修正模型。我使用的软件是STATA,历经千辛万苦完成了一二两步,变量为一阶单整,存在协整关系,以上都没有考虑到滞后项。到第三步建立ECM时我试验了滞后一项,采用最简单的直接估计法(列表达式回归),各参数显著性通过(常数项稍差一点),但调整R方只有0.5124。然后就卡在这了。

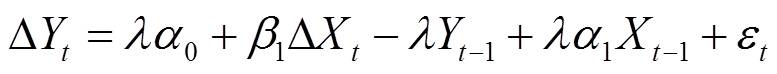
目前的模型: 误差修正模型.jpg
幻想中的最终模型: 非对称误差修正模型
(路漫漫,相差十万八千里............)



有以下几个问题求高手前辈大神们指教:

1、如何建立滞后k项的一般性模型然后求出最优滞后项数?看大多是用AIC、SC准则,但是怎样在STATA中一下得出各滞后项数AIC、SC值的列表?(看论坛上有人说一项一项试再选择最小AIC、SC值,或者从最高滞后项递减删除滞后变量,但是我的样本数有410,所以这样做不大现实)

2、对于非对称传递的检验,还需要将ECM进一步分离变量为正负两种,这里我就更不会了(大哭T_T),如何使用STATA做上述分离得到最终模型呢?因为需要比较正负变量的系数。

3、看到论坛上很多讨论VAR、VEC的,我只有两组时间序列数据,需要用到VAR、VEC吗?

4、以上步骤对吗?还需要做格兰杰因果关系检验、脉冲响应函数吗?(这俩还没开始自学,不知道能不能学得会)



问题好多,压力好大,真心各种不会,都想放弃了。。求大家帮助!!感激不尽!(到最后才来赶毕业论文的孩子伤不起,我再也不要有拖延症了T_T)
二维码

扫码加我 拉你入群

请注明:姓名-公司-职位

以便审核进群资格,未注明则拒绝

全部回复
2014-5-21 12:49:00
求回复啊,本人新手论坛币为0....没法悬赏散金,请见谅
二维码

扫码加我 拉你入群

请注明:姓名-公司-职位

以便审核进群资格,未注明则拒绝

2014-5-25 17:31:42
没人帮助吗?
现在问题就一个,如何选取最有滞后项数,我试验了几项,AIC、SC是越来越小的,找不出来啊
二维码

扫码加我 拉你入群

请注明:姓名-公司-职位

以便审核进群资格,未注明则拒绝

2014-5-31 16:27:01
再顶,最佳滞后项选出来了,就是滞后一项(虽然感觉好像不大对)。现在就差最后一步了,建立非对称ECM模型,求问stata中如何设置正负变量??(就是当X1变化量为正时,其虚拟变量系数为1,否则为0;另一X2变化量为负时,其虚拟变量系数为1,否则为0)

求指点!
二维码

扫码加我 拉你入群

请注明:姓名-公司-职位

以便审核进群资格,未注明则拒绝

2014-6-20 11:39:10
绑定,期待大神的出现!
二维码

扫码加我 拉你入群

请注明:姓名-公司-职位

以便审核进群资格,未注明则拒绝

2015-6-25 20:25:50
还没有结果吗?
二维码

扫码加我 拉你入群

请注明:姓名-公司-职位

以便审核进群资格,未注明则拒绝

点击查看更多内容…
相关推荐
栏目导航
热门文章
推荐文章

说点什么

分享

扫码加好友,拉您进群
各岗位、行业、专业交流群