经管之家App
让优质教育人人可得
立即打开
全部版块
我的主页
›
论坛
›
数据科学与人工智能
›
数据分析与数据科学
›
MATLAB等数学软件专版
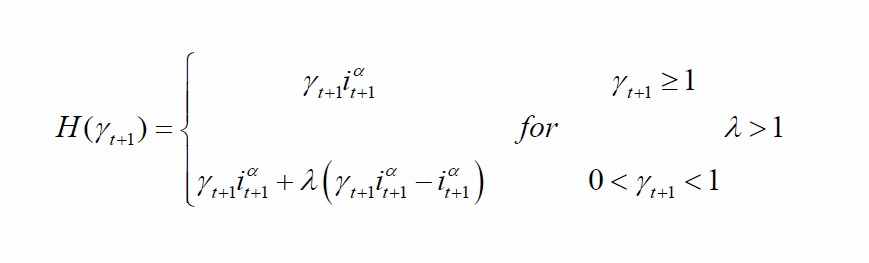
新人求助!!!如何定义附件所示的方程!
楼主
thedoctor
1397
5
收藏
2014-05-28
楼主理解不到位,总是弄不出来!
附件列表
QQ图片20140528004358.jpg
原图尺寸 18.35 KB
扫码加我 拉你入群
请注明:姓名-公司-职位
以便审核进群资格,未注明则拒绝
全部回复
沙发
thedoctor
2014-5-28 00:53:34
用的是Matlab谢谢!好人一生平安!
扫码加我 拉你入群
请注明:姓名-公司-职位
以便审核进群资格,未注明则拒绝
藤椅
thedoctor
2014-5-28 01:04:18
楼主是这样编的
function H = H(gam,w)
gam = [gam1 gam2 gam3] % gam=0.9 gam2=1 gam3=1.1
if gam=gam(1,1)
H=gam*w+lambda*(gam*w-w)
else
H=gam*w
end
扫码加我 拉你入群
请注明:姓名-公司-职位
以便审核进群资格,未注明则拒绝
板凳
thedoctor
2014-5-28 11:25:32
求助!
扫码加我 拉你入群
请注明:姓名-公司-职位
以便审核进群资格,未注明则拒绝
报纸
wangguoping2013
2014-5-28 12:57:58
请联系 QQ 1298997509
扫码加我 拉你入群
请注明:姓名-公司-职位
以便审核进群资格,未注明则拒绝
地板
thedoctor
2014-6-9 20:52:31
好人一生平安!
扫码加我 拉你入群
请注明:姓名-公司-职位
以便审核进群资格,未注明则拒绝
相关推荐
On the Robustness of Unit Root Tests in the Presence of Double Unit Roots
论坛开张并诚招版主
庆祝论坛开张并诚招版主
有志于报考人大经济学院的同学朋友们看过来
庆祝论坛开张并诚招各分论坛版主
On the Robustness of Unit Root Tests in the Presence of Double Unit Roots
双单位根存在情况下单位根检验的稳健性研究
Local Power Functions of Tests for Double Unit Roots
周小川:调利率还需观察 息口盯住5%通胀率
栏目导航
MATLAB等数学软件专版
数据分析与数据挖掘
数据分析师(CDA)专版
休闲灌水
经管文库(原现金交易版)
金融实务版
热门文章
告别熬夜头秃!3天论文特训,实现从“无从下 ...
CDA数据分析脱产就业班于2025年12月08日开班 ...
助力高阶认证备考!CDA 三级新上线第一套官 ...
《财经论丛》投稿与录用过程
全球晶圆清洗机市场调研:全球前十强生产商 ...
智能工厂发展报告(2025年)
全球改性芳香胺固化剂市场分析:前5强生产商 ...
中国财经新闻微信公众号数据
2025年度全球人工智能治理报告
全球AI应用平台市场全景图与趋势洞察报告
推荐文章
26年寒假天津站|Gemini论文写作&数据分析 ...
2026JG学术冬训营:从Stata初高到Python机器 ...
关于如何利用文献的若干建议
关于学术研究和论文发表的一些建议
关于科研中如何学习基础知识的一些建议 (一 ...
一个自编的经济学建模小案例 --写给授课本科 ...
AI智能体赋能教学改革: 全国AI教育教学应用 ...
2025中国AIoT产业全景图谱报告-406页
关于文献求助的一些建议
几种免费下载文献的方法----我的文献应助经
说点什么
分享
微信
QQ空间
QQ
微博
扫码加好友,拉您进群
各岗位、行业、专业交流群