全部版块 我的主页
论坛 经济学论坛 三区 产业经济学
18172 7
2014-06-10
老师给的资料只有:“δ10=1-r10”,完全不懂怎么计算{:2_36:}
二维码

扫码加我 拉你入群

请注明:姓名-公司-职位

以便审核进群资格,未注明则拒绝

全部回复
2014-6-11 00:22:14

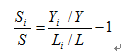
结构偏离度(系数)是用于考察各产业劳动力就业结构与产值结构对称性的一种经济指标,计算公式如下:


结构偏离度.png


其中 结构偏离度1.png 是某一产业的结构偏离度,其余指标同前。一个产业的结构偏离度等于0,意味着产业产值结构与就业结构高度一致,在总量上达到均衡状态;越接近于0表示该产业应吸纳更多劳动力以使产业发展与吸纳就业的能力保持一致;小于0表示该产业存在隐性失业,需要采取措放促使劳动力转移出去。
二维码

扫码加我 拉你入群

请注明:姓名-公司-职位

以便审核进群资格,未注明则拒绝

2014-6-11 00:24:39
不了解楼主的老师给的资料是什么意思。

以上公式中,Y表示增加值,L表示从业人员。
二维码

扫码加我 拉你入群

请注明:姓名-公司-职位

以便审核进群资格,未注明则拒绝

2014-6-11 23:18:52
snxl 发表于 2014-6-11 00:24
不了解楼主的老师给的资料是什么意思。

以上公式中,Y表示增加值,L表示从业人员。
我老师给的,关于“结构偏离度系数”的资料,我相册有图片
就那么多
二维码

扫码加我 拉你入群

请注明:姓名-公司-职位

以便审核进群资格,未注明则拒绝

2014-11-15 13:43:09
请问相册中的图片是出自哪本书呢?哪个出版社的?作者是谁
二维码

扫码加我 拉你入群

请注明:姓名-公司-职位

以便审核进群资格,未注明则拒绝

2014-11-26 12:20:04
找几本产业经济学的书看看
二维码

扫码加我 拉你入群

请注明:姓名-公司-职位

以便审核进群资格,未注明则拒绝

点击查看更多内容…
相关推荐
栏目导航
热门文章
推荐文章

说点什么

分享

扫码加好友,拉您进群
各岗位、行业、专业交流群