经管之家App
让优质教育人人可得
立即打开
全部版块
我的主页
›
论坛
›
数据科学与人工智能
›
数据分析与数据科学
›
R语言论坛
求Newton—Raphson迭代解二元非线性方程组的R程序
楼主
TensorLee
3482
1
收藏
2014-06-23
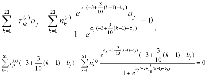
求问那个大神可以给出这个方程组的Newton—Raphson迭代的R程序?其中只有aj和bj是未知的,其他都是已知的。多谢!
扫码加我 拉你入群
请注明:姓名-公司-职位
以便审核进群资格,未注明则拒绝
全部回复
沙发
TensorLee
2014-6-24 12:06:06
没人会啊。。。
扫码加我 拉你入群
请注明:姓名-公司-职位
以便审核进群资格,未注明则拒绝
相关推荐
[求助]请高手帮帮忙啊!用1stopt求非线性方程组
1stOPT下求非线性方程组,帮看错在哪里?
如何用sas解带约束的非线性方程组?请大侠帮我看下这个例子
非线性方程组求解工具箱
1stOpt如何解变常数非线性方程组
如何用R求解2元非线性方程组?或者求2元极值
基于机器学习思想的非线性方程组求解
本科生写学年论文中Merton模型计算违约距离遇到障碍
r语言求带有约束的非线性方程组的解的命令
求推荐:哪个函数适于求解含四个方程的非线性方程组
栏目导航
R语言论坛
经管文库(原现金交易版)
行业分析报告
文献求助专区
经管高考
悬赏大厅
热门文章
《那年2003:我双手插兜,搞钱不知什么叫对 ...
在概率与代码之间:Agent Skills 是 AI 的枷 ...
CDA数据分析脱产就业班于2026年3月7日开班! ...
参数估计:CDA数据分析师的核心推断工具,用 ...
通用指标与场景指标:CDA数据分析师的核心分 ...
GeoSaaS永久会员版
全国国土利用现状、耕地、园地、林地分布等 ...
癌症·真相:医生也在读(菠萝)
2024年合集 ESG评级数据大全(彭博 华证 Wi ...
脑机接口行业系列报告:Neuralink带来的启示 ...
推荐文章
2026JG学术冬训营:从Stata初高到Python机器 ...
【必看】【本版版规,欢迎发悬赏贴求助】
【新课】26年3月|Gemini辅助论文写作与数据 ...
关于如何利用文献的若干建议
关于学术研究和论文发表的一些建议
关于科研中如何学习基础知识的一些建议 (一 ...
一个自编的经济学建模小案例 --写给授课本科 ...
AI智能体赋能教学改革: 全国AI教育教学应用 ...
2025中国AIoT产业全景图谱报告-406页
关于文献求助的一些建议
说点什么
分享
微信
QQ空间
QQ
微博
扫码加好友,拉您进群
各岗位、行业、专业交流群