全部版块 我的主页
论坛 经济学论坛 三区 微观经济学
1869 6
2014-07-02
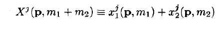
如何从上面那个式子得出下面那个式子?

有M=m1+m2
070201.PNG


070202.PNG



是否如下?
070203.jpg


多谢!

二维码

扫码加我 拉你入群

请注明:姓名-公司-职位

以便审核进群资格,未注明则拒绝

全部回复
2014-7-2 23:09:24
懒得用编辑器了,我说下:因为m1与m2前面的系数都是1,因此,对m1求偏导,相当于对M先导,再乘以M对m1偏导,M对m1偏导等于1,因此忽略不计。不知道你明白我的意思没
二维码

扫码加我 拉你入群

请注明:姓名-公司-职位

以便审核进群资格,未注明则拒绝

2014-7-2 23:09:29
懒得用编辑器了,我说下:因为m1与m2前面的系数都是1,因此,对m1求偏导,相当于对M先导,再乘以M对m1偏导,M对m1偏导等于1,因此忽略不计。不知道你明白我的意思没
二维码

扫码加我 拉你入群

请注明:姓名-公司-职位

以便审核进群资格,未注明则拒绝

2014-7-2 23:11:13
懒得用编辑器了,我说下:因为m1与m2前面的系数都是1,因此,对m1求偏导,相当于对M先导,再乘以M对m1偏导,M对m1偏导等于1,因此忽略不计。不知道你明白我的意思没
本文来自: 人大经济论坛 微观经济学 版,详细出处参考: https://bbs.pinggu.org/forum.php?mod=viewthread&tid=3113490&page=1&from^^uid=2717578
二维码

扫码加我 拉你入群

请注明:姓名-公司-职位

以便审核进群资格,未注明则拒绝

2014-7-2 23:59:29
lihu007007007 发表于 2014-7-2 23:11
懒得用编辑器了,我说下:因为m1与m2前面的系数都是1,因此,对m1求偏导,相当于对M先导,再乘以M对m1偏导, ...
明白了!多谢!
二维码

扫码加我 拉你入群

请注明:姓名-公司-职位

以便审核进群资格,未注明则拒绝

2014-7-3 23:29:34
第一个式子是马歇尔需求函数,m是预算的意思,x代表数量,因为价格相同,所以x3代表总数。

第二个式子是花在每一件商品上的边际效用都是一样的。
二维码

扫码加我 拉你入群

请注明:姓名-公司-职位

以便审核进群资格,未注明则拒绝

点击查看更多内容…
相关推荐
栏目导航
热门文章
推荐文章

说点什么

分享

扫码加好友,拉您进群
各岗位、行业、专业交流群