经管之家App
让优质教育人人可得
立即打开
全部版块
我的主页
›
论坛
›
计量经济学与统计论坛 五区
›
计量经济学与统计软件
›
Stata专版
如何实现联立方程的约束回归
楼主
从来没有过
1939
1
收藏
2014-07-11
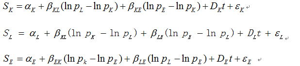
各位大神,下面是我需要做得受约束的连立方程,约束条件是Dk+Dl+De=0;求助各位大神,如何编程
扫码加我 拉你入群
请注明:姓名-公司-职位
以便审核进群资格,未注明则拒绝
全部回复
沙发
从来没有过
2014-7-15 08:40:02
stata编程为(自己摸索出来的),原本的意向是在约束条件下对联立方程实现似不相关回归
constraint 1 [sk]t+[sl]t+[se]t=0------------保证dk+dl+de=0的约束条件
sureg(sk pl pjk pe t)(sl pk pl pe t)(se pl pk pe t), consraint (1)
扫码加我 拉你入群
请注明:姓名-公司-职位
以便审核进群资格,未注明则拒绝
相关推荐
联立方程组进行预测
请问牛人:面板数据的联立方程估计在STATA中如何实现
联立方程建模问题
急急急!怎么对非线性联立方程进行识别呢
联立方程GMM回归问题
两个联立方程用3LS估计?
关于面板联立方程的使用
请推荐一本sur联立方程的书籍,在sas中如何实现呢?
请教各位大神,联立方程使用reg3估计后,如何查看第一阶段的F值?
联立方程中的递归模型如何估计
栏目导航
Stata专版
站务与外事
新手入门区
论文版
经管在职研
MATLAB等数学软件专版
热门文章
CDA数据分析脱产就业班于2026年3月7日开班! ...
表格结构数据的核心特征及具象实例解析
中外历史年代对照表
湖南统计年鉴2025(Excel版)
高效办公—Word零基础教程
中国提振消费的战略选择与国际经验,提振消 ...
2026太空算力发展研究报告
Measure Theory for Analysis and Probabil ...
高教现代数学基础23 矩阵计算六讲 徐树方,钱 ...
【24顶刊热点!】2000-2024上市公司股价崩盘 ...
推荐文章
2026JG学术冬训营:从Stata初高到Python机器 ...
【必看】【本版版规,欢迎发悬赏贴求助】
26年寒假天津站|Gemini论文写作&数据分析 ...
关于如何利用文献的若干建议
关于学术研究和论文发表的一些建议
关于科研中如何学习基础知识的一些建议 (一 ...
一个自编的经济学建模小案例 --写给授课本科 ...
AI智能体赋能教学改革: 全国AI教育教学应用 ...
2025中国AIoT产业全景图谱报告-406页
关于文献求助的一些建议
说点什么
分享
微信
QQ空间
QQ
微博
扫码加好友,拉您进群
各岗位、行业、专业交流群