全部版块 我的主页
论坛 数据科学与人工智能 数据分析与数据科学 MATLAB等数学软件专版
4165 13
2014-07-22
悬赏 30 个论坛币 已解决

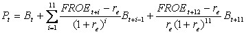
求解re,其余变量均已知。
求高手分享code!!!

最佳答案

lscwrf 查看完整内容

6、7年前我做这个,请别人帮我写了个matlab程序,发给你供参考。由于不是我做的,就不贴出来了,给你发消息了。
二维码

扫码加我 拉你入群

请注明:姓名-公司-职位

以便审核进群资格,未注明则拒绝

全部回复
2014-7-22 17:28:51
6、7年前我做这个,请别人帮我写了个matlab程序,发给你供参考。由于不是我做的,就不贴出来了,给你发消息了。
二维码

扫码加我 拉你入群

请注明:姓名-公司-职位

以便审核进群资格,未注明则拒绝

2014-7-23 15:36:13
你的方程?
二维码

扫码加我 拉你入群

请注明:姓名-公司-职位

以便审核进群资格,未注明则拒绝

2014-7-27 17:36:48
ermutuxia 发表于 2014-7-23 15:36
你的方程?
是Gebhardt et al.(2001)文章里面求解资本成本的方程
二维码

扫码加我 拉你入群

请注明:姓名-公司-职位

以便审核进群资格,未注明则拒绝

2014-7-27 17:41:41
ermutuxia 发表于 2014-7-23 15:36
你的方程?
二维码

扫码加我 拉你入群

请注明:姓名-公司-职位

以便审核进群资格,未注明则拒绝

2014-7-29 08:24:18
wzy2009520 发表于 2014-7-27 17:41
图片损坏
二维码

扫码加我 拉你入群

请注明:姓名-公司-职位

以便审核进群资格,未注明则拒绝

点击查看更多内容…
相关推荐
栏目导航
热门文章
推荐文章

说点什么

分享

扫码加好友,拉您进群
各岗位、行业、专业交流群