全部版块 我的主页
论坛 提问 悬赏 求职 新闻 读书 功能一区 经管百科 爱问频道
6655 4
2014-08-29

ProblemInRenDa.png


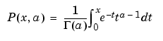
    问题是求解参数阿尔法和贝塔值,可以观察到第二个式子是不完全的GAMMA函数
The incomplete GAMMA function is:

gamma.png


      咱们可以将上图的第二个式子化为:


gamma2.png


        这样就化成为一个不完全的GAMMA函数:


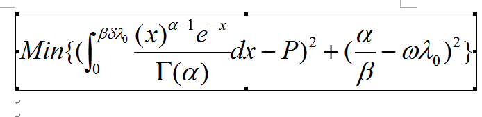
    则求解上述等式问题我们只需要转化为求解以下最小化问题:


3.png




    平方和或者绝对值之和问题,这样非线性的最小化问题只需要利用Fminsearch函数或者遗传算法解决,而本帖只利用Fminsearch函数求解阿尔法和贝塔。


4.png


     假设Omiga=2Lemda0=1P=0.5、Delta=1;则以上两个方程就变为求解如下最小化问题(假设采用绝对值的最小化问题):


5.png


     因此函数matlab code为:x(1)代表阿尔法,x(2)代表贝塔


     function f=GammaIncFun(x)
     f=abs(x(1)./x(2)-2)+abs(gammainc(x(2),x(1))-0.5);


     利用fminsearch函数求解:[coeffcient,Functionvalue]=fminsearch(@(x)GammaIncFun(x),[1,2])
     得到结果:
    coeffcient =0.5603    0.2802;  Functionvalue =  1.6338e-005 这样就得到了数值解!


    本文的目的仅仅在于帮助需要帮助的人,鄙人水平比较一般,希望能和论坛潜在的大牛们互相交流!




(问题来源:https://bbs.pinggu.org/thread-3185272-1-1.html)
附件列表
gamma.png

原图尺寸 1.74 KB

gamma.png

二维码

扫码加我 拉你入群

请注明:姓名-公司-职位

以便审核进群资格,未注明则拒绝

全部回复
2014-8-29 00:58:05
这样的好帖居然没有人顶,汗啊
二维码

扫码加我 拉你入群

请注明:姓名-公司-职位

以便审核进群资格,未注明则拒绝

2014-12-1 19:22:40
最近我是一直在顶fantuanxiaot兄弟的帖子哈  ,学到不少东西哈
二维码

扫码加我 拉你入群

请注明:姓名-公司-职位

以便审核进群资格,未注明则拒绝

2014-12-2 09:26:32
fantuanxiaot的精华贴不断
二维码

扫码加我 拉你入群

请注明:姓名-公司-职位

以便审核进群资格,未注明则拒绝

2019-4-18 15:02:32
楼主厉害了!!!如何求解不完整的gamma函数这个问题困扰我很久了,我用了各种软件都算不出来,看了你的帖子转化为求最小值的思路超级好!!!我试着用matlab算了一下,但是matlab运算的时候显示:错误使用gammanic函数,A必须为正实数,请问这个错误怎么解决呢?
二维码

扫码加我 拉你入群

请注明:姓名-公司-职位

以便审核进群资格,未注明则拒绝

相关推荐
栏目导航
热门文章
推荐文章

说点什么

分享

扫码加好友,拉您进群
各岗位、行业、专业交流群