全部版块 我的主页
论坛 计量经济学与统计论坛 五区 计量经济学与统计软件 Stata专版
11771 3
2014-09-08
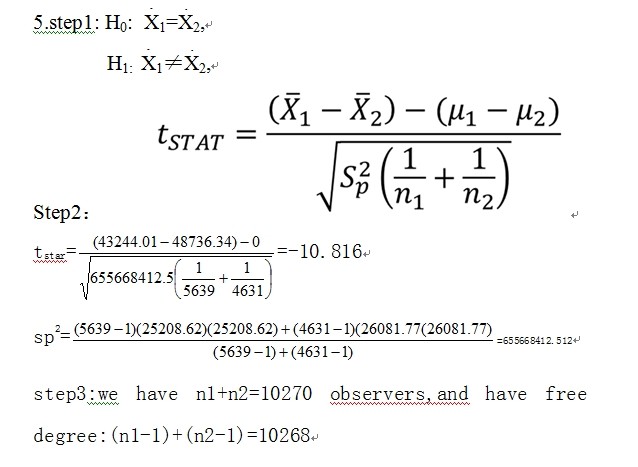
QQ图片20140908162434.jpg )YSJAB}41)`)G3XNPBCN_S5.jpg 刚学计量经济学,比较女和男两组样本工资是否有显著差异,先让用stata算是否有显著性差异计算出来时,然后又让用计算证实stata的正确性,呵呵,不过这个样本free degree=10268,这么大没有这么大值得t可查啊怎么办啊?呜呜,大家再帮帮忙吧,还有我的计算没错吧大家也帮着看下,有错的望正。分别附上stata算的和我算的


二维码

扫码加我 拉你入群

请注明:姓名-公司-职位

以便审核进群资格,未注明则拒绝

全部回复
2014-9-9 01:15:59
应该可以近似看成服从正态分布的。
二维码

扫码加我 拉你入群

请注明:姓名-公司-职位

以便审核进群资格,未注明则拒绝

2014-9-9 11:17:07
知道t值,知道自由度,就可以求出对应的相伴概率,如果课本上的t分布表查不到,你可以用软件计算,但是如果t值很大,p值是接近0的。
二维码

扫码加我 拉你入群

请注明:姓名-公司-职位

以便审核进群资格,未注明则拒绝

2014-9-9 13:46:31
ermutuxia 发表于 2014-9-9 11:17
知道t值,知道自由度,就可以求出对应的相伴概率,如果课本上的t分布表查不到,你可以用软件计算,但是如果 ...
不好意思,我写错了,我本想问自由度很大时t值怎么查?后来仔细观察t值表,尽管像我的这个自由度这么大的没有但是可以看出来趋势,就是肯定是接受H1的概率超过99.9%
二维码

扫码加我 拉你入群

请注明:姓名-公司-职位

以便审核进群资格,未注明则拒绝

相关推荐
栏目导航
热门文章
推荐文章

说点什么

分享

扫码加好友,拉您进群
各岗位、行业、专业交流群