全部版块 我的主页
论坛 经济学论坛 三区 区域经济学
2009 0
2014-09-21

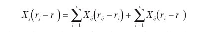
在巴罗报告中,Jones 将考察期[0, t]内的区域总偏离量分解为“区域分享率”(regional sharerate)和“产业结构率”(industry-mixrate)两部分: 11.jpg


式中:X表示就业量;r表示增长速度;下标j表示区域,并设定区域数量为R,下标i表示产业,并设定产业数量为S;Xij是j区域i产业于基期的就业量。区域分享率即区域分量,是指基期区域各产业就业量参照其增速与全国增速值产生的增量;茶叶结构率也即结构分量,是指基期区域各产业就业量参照全国该产业与所有产业增速差值产生的增量。

上面这个是论文里面的原话,那我不明白上面公式怎么推导出来左边等于右边?有大神帮忙解释下吗?

附件列表
QQ图片20140921094141.jpg

原图尺寸 3.79 KB

QQ图片20140921094141.jpg

QQ图片20140921093831.jpg

原图尺寸 139.24 KB

QQ图片20140921093831.jpg

二维码

扫码加我 拉你入群

请注明:姓名-公司-职位

以便审核进群资格,未注明则拒绝

相关推荐
栏目导航
热门文章
推荐文章

说点什么

分享

扫码加好友,拉您进群
各岗位、行业、专业交流群