经管之家App
让优质教育人人可得
立即打开
全部版块
我的主页
›
论坛
›
经管考试 九区
›
经管考证
›
金融类
弹性和对数
楼主
southnorth2005
1913
2
收藏
2014-10-08
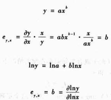
为什么对数后直接得到弹性?请给点思路过程,谢谢
附件列表
1.png
原图尺寸 42.37 KB
扫码加我 拉你入群
请注明:姓名-公司-职位
以便审核进群资格,未注明则拒绝
全部回复
沙发
恍如真爱
2014-10-8 15:10:06
写得真好
扫码加我 拉你入群
请注明:姓名-公司-职位
以便审核进群资格,未注明则拒绝
藤椅
xiaomaijinwang
2014-10-8 15:19:50
对lnx求导。原函数是幂函数,才有这个性质。
扫码加我 拉你入群
请注明:姓名-公司-职位
以便审核进群资格,未注明则拒绝
栏目导航
金融类
经管文库(原现金交易版)
行业分析报告
经管高考
马克思主义经济学
数据交流中心
热门文章
助力高阶认证备考!CDA 三级新上线第一套官 ...
全球高校名单数据
《AI+医疗治理白皮书2026》
【推荐】上市公司过度负债指标计算Stata代码 ...
告别熬夜头秃!3天论文特训,实现从“无从下 ...
CDA数据分析师实战:方差分析与F检验的业务 ...
一点写代码的心得:“你可别再重构了!”
CDA 认证考试大纲 2025 重磅更新:一二级考 ...
杨威老师的股海捕鱼
CDA数据分析脱产就业班于2025年12月08日开班 ...
推荐文章
26年寒假天津站|Gemini论文写作&数据分析 ...
2026JG学术冬训营:从Stata初高到Python机器 ...
关于如何利用文献的若干建议
关于学术研究和论文发表的一些建议
关于科研中如何学习基础知识的一些建议 (一 ...
一个自编的经济学建模小案例 --写给授课本科 ...
AI智能体赋能教学改革: 全国AI教育教学应用 ...
2025中国AIoT产业全景图谱报告-406页
关于文献求助的一些建议
几种免费下载文献的方法----我的文献应助经
说点什么
分享
微信
QQ空间
QQ
微博
扫码加好友,拉您进群
各岗位、行业、专业交流群