全部版块 我的主页
论坛 提问 悬赏 求职 新闻 读书 功能一区 经管百科 爱问频道
1417 2
2014-10-31
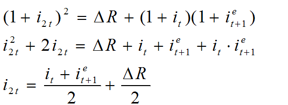
考虑下面两种投资策略:
1)购买1年期债券,期满后再购买相同条件的1年期债券;
2)直接购买2年期债券,并持有至期满。
如果投资者偏好短期债券,则只有当一次购入2年期债券的预期收益率与一年一年地购入1年期债券的收益率之差超过 R 时,投资者才会转而投向2年期债券。
即:
问题.png
请问最后这个等式是怎么解出来的?万分感谢!






二维码

扫码加我 拉你入群

请注明:姓名-公司-职位

以便审核进群资格,未注明则拒绝

全部回复
2014-10-31 12:21:32
路过遇上 发表于 2014-10-31 10:19
考虑下面两种投资策略:
(1)购买1年期债券,期满后再购买相同条件的1年期债券;
(2)直接购买2年期债券 ...
等式左边那个利率的平方以及等式右边那个两种利率相乘都近似等于零,可以忽略不计,因此都被略去了,就得到了现在这个结果。
二维码

扫码加我 拉你入群

请注明:姓名-公司-职位

以便审核进群资格,未注明则拒绝

2014-12-16 16:58:26
楼上正解。
二维码

扫码加我 拉你入群

请注明:姓名-公司-职位

以便审核进群资格,未注明则拒绝

相关推荐
栏目导航
热门文章
推荐文章

说点什么

分享

扫码加好友,拉您进群
各岗位、行业、专业交流群