全部版块 我的主页
论坛 数据科学与人工智能 数据分析与数据科学 R语言论坛
7886 9
2014-11-16
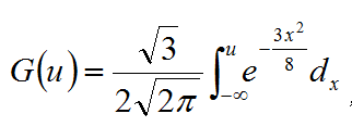
QQ拼音截图未命名.png 知道G(u),如何求u
二维码

扫码加我 拉你入群

请注明:姓名-公司-职位

以便审核进群资格,未注明则拒绝

全部回复
2014-11-16 19:40:42
shuihuine
二维码

扫码加我 拉你入群

请注明:姓名-公司-职位

以便审核进群资格,未注明则拒绝

2014-11-16 19:56:04
数值积分法,比如monte carlo数值积分

这方面可能matlab更强大
二维码

扫码加我 拉你入群

请注明:姓名-公司-职位

以便审核进群资格,未注明则拒绝

2014-11-16 20:02:21
fakye 发表于 2014-11-16 19:56
数值积分法,比如monte carlo数值积分

这方面可能matlab更强大
嗯,有没有具体程序,网上搜索量一通,都没有。求积分的命令倒是有,但现在是想求积分上限
二维码

扫码加我 拉你入群

请注明:姓名-公司-职位

以便审核进群资格,未注明则拒绝

2014-11-16 20:48:52
蒙卡洛特积分,先随机出随机出,然后密度函数相加,结果除以随机数的个数,虽说和准确值会有一点差距,但还是很很准确的
二维码

扫码加我 拉你入群

请注明:姓名-公司-职位

以便审核进群资格,未注明则拒绝

2014-11-16 20:50:17
小志高飞 发表于 2014-11-16 20:48
蒙卡洛特积分,先随机出随机出,然后密度函数相加,结果除以随机数的个数,虽说和准确值会有一点差距,但还 ...
我错了。。。没看清题目。。。
二维码

扫码加我 拉你入群

请注明:姓名-公司-职位

以便审核进群资格,未注明则拒绝

点击查看更多内容…
相关推荐
栏目导航
热门文章
推荐文章

说点什么

分享

扫码加好友,拉您进群
各岗位、行业、专业交流群