全部版块 我的主页
论坛 经济学论坛 三区 微观经济学 经济金融数学专区
1185 5
2014-11-26
在求0/0型极限时,如果满足3个条件,那么满足 QQ截图20141126175527.png
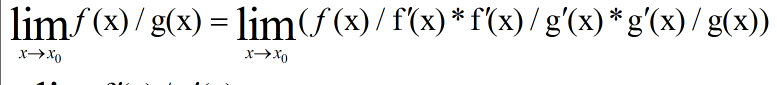
如果f'(x)不为0,则极限可以这么写 QQ截图20141126181142.png 。那么问题来了,两式比较发现 QQ截图20141126181338.png ,这个又该如何证明?
附件列表
QQ截图20141126175315.png

原图尺寸 6.24 KB

QQ截图20141126175315.png

二维码

扫码加我 拉你入群

请注明:姓名-公司-职位

以便审核进群资格,未注明则拒绝

全部回复
2014-11-26 18:29:07
你把第一个式子的右边除到左边,右边是1,左边看看是啥。。。。
二维码

扫码加我 拉你入群

请注明:姓名-公司-职位

以便审核进群资格,未注明则拒绝

2014-11-27 10:00:51
这个用证明吗?
二维码

扫码加我 拉你入群

请注明:姓名-公司-职位

以便审核进群资格,未注明则拒绝

2014-11-27 14:55:50
得出这个极限等于1,是在这个极限存在的前提下等到的。但这个极限是否存在是不确定的。
二维码

扫码加我 拉你入群

请注明:姓名-公司-职位

以便审核进群资格,未注明则拒绝

2014-11-27 21:48:32
kidarking 发表于 2014-11-27 10:00
这个用证明吗?[draw]a11i21522d21622d21d22b22022722522122621e22721b2272172272142272122262122232182202 ...
额,是我没把意思表达清楚。我想表达的是假如还不知道可以通过柯西中值定理得到第一个的等式,有没有其他的办法解出第三个等式 181350mdm9mmj98m1890x0.png 后,来说明第一个等式成立。
二维码

扫码加我 拉你入群

请注明:姓名-公司-职位

以便审核进群资格,未注明则拒绝

2014-11-27 21:50:09
NoHL 发表于 2014-11-26 18:29
你把第一个式子的右边除到左边,右边是1,左边看看是啥。。。。
额,是我没把意思表达清楚。我想表达的是假如还不知道可以通过柯西中值定理得到第一个的等式,有没有其他的办法解出第三个等式 181350mdm9mmj98m1890x0.png
后,来说明第一个等式成立。
二维码

扫码加我 拉你入群

请注明:姓名-公司-职位

以便审核进群资格,未注明则拒绝

相关推荐
栏目导航
热门文章
推荐文章

说点什么

分享

扫码加好友,拉您进群
各岗位、行业、专业交流群