经管之家App
让优质教育人人可得
立即打开
全部版块
我的主页
›
论坛
›
计量经济学与统计论坛 五区
›
计量经济学与统计软件
›
EViews专版
garch模型均值方程设定求解!!!!!!!
楼主
factal
2448
2
收藏
2014-12-22
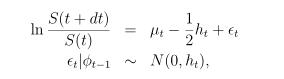
如上图
如何对Rt进行garch拟合??????
均值方程如何设定!!!
急求解答!!!!!!!!!!
扫码加我 拉你入群
请注明:姓名-公司-职位
以便审核进群资格,未注明则拒绝
全部回复
沙发
factal
2014-12-22 15:33:05
求解 求解啊!!对ARCH-M项的设定不能确定系数是-1/2么?
扫码加我 拉你入群
请注明:姓名-公司-职位
以便审核进群资格,未注明则拒绝
藤椅
factal
2014-12-22 18:23:19
没有人么?
扫码加我 拉你入群
请注明:姓名-公司-职位
以便审核进群资格,未注明则拒绝
相关推荐
[求助]GARCH模型中的均值方程形式
请教建立多元的GARCH模型之前是不是应该先检验均值方程部分是否有异方差呢?
用R做的garch模型,如何得到它的均值方程和ganch方程
【请教】关于GARCH模型均值方程设定问题
关于GARCH模型的均值方程
GARCH模型中均值方程是否一定要根据AC\PAC确定自变量阶数
求助,GARCH模型中的均值方程怎么输入
【求助】GARCH模型的均值方程问题
运行GARCH模型 得到的均值方程系数不显著,求大神告知原因。。
GARCH模型均值方程常数项不显著
栏目导航
EViews专版
stata专版
行业分析报告
经管文库
文献求助专区
数据交流中心
热门文章
中国企业高质量发展展望穿越周期与聚力创新
中国企业高质量发展展望穿越周期与聚力创新
《那年2003:我双手插兜,搞钱不知什么叫对 ...
求文献“Using Survey Information for Imp ...
在概率与代码之间:Agent Skills 是 AI 的枷 ...
CDA数据分析脱产就业班于2026年3月7日开班! ...
参数估计:CDA数据分析师的核心推断工具,用 ...
通用指标与场景指标:CDA数据分析师的核心分 ...
GeoSaaS永久会员版
全国国土利用现状、耕地、园地、林地分布等 ...
推荐文章
2026JG学术冬训营:从Stata初高到Python机器 ...
【必看】【本版版规,欢迎发悬赏贴求助】
【新课】26年3月|Gemini辅助论文写作与数据 ...
关于如何利用文献的若干建议
关于学术研究和论文发表的一些建议
关于科研中如何学习基础知识的一些建议 (一 ...
一个自编的经济学建模小案例 --写给授课本科 ...
AI智能体赋能教学改革: 全国AI教育教学应用 ...
2025中国AIoT产业全景图谱报告-406页
关于文献求助的一些建议
说点什么
分享
微信
QQ空间
QQ
微博
扫码加好友,拉您进群
各岗位、行业、专业交流群