全部版块 我的主页
论坛 经济学人 二区 学术道德监督
1270 6
2014-12-27
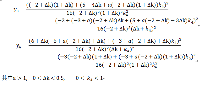
我想把下面两个函数画在一个坐标中,想知道a取什么值时两个函数能有交点,可是自变量太多,我不知道怎么画图,求帮忙

                              

                              


附件列表
@Q3[J0LWZJU]4KT08[BO~AN.png

原图尺寸 13.32 KB

@Q3[J0LWZJU]4KT08[BO~AN.png

二维码

扫码加我 拉你入群

请注明:姓名-公司-职位

以便审核进群资格,未注明则拒绝

全部回复
2014-12-27 16:27:01
自变量太多?  参数还是变量哦?
二维码

扫码加我 拉你入群

请注明:姓名-公司-职位

以便审核进群资格,未注明则拒绝

2014-12-27 16:40:47
hyu9910 发表于 2014-12-27 16:27
自变量太多?  参数还是变量哦?
哦,是参数太多了,不知道怎么处理,能帮助我吗
二维码

扫码加我 拉你入群

请注明:姓名-公司-职位

以便审核进群资格,未注明则拒绝

2014-12-27 16:53:18
1169559150 发表于 2014-12-27 16:40
哦,是参数太多了,不知道怎么处理,能帮助我吗
随便选择一组合理的参数值,代入然后画图观察吧
二维码

扫码加我 拉你入群

请注明:姓名-公司-职位

以便审核进群资格,未注明则拒绝

2014-12-27 17:23:58
hyu9910 发表于 2014-12-27 16:53
随便选择一组合理的参数值,代入然后画图观察吧
就是不知道怎么选数据值,因为不同的数据产生的结果是不一样的,所以就很麻烦了
二维码

扫码加我 拉你入群

请注明:姓名-公司-职位

以便审核进群资格,未注明则拒绝

2014-12-27 18:12:49
1169559150 发表于 2014-12-27 17:23
就是不知道怎么选数据值,因为不同的数据产生的结果是不一样的,所以就很麻烦了
那可以考虑,譬如编程画10张20张不同参数值组合的图,观察结果的规律,或者直接找到想要的结果
二维码

扫码加我 拉你入群

请注明:姓名-公司-职位

以便审核进群资格,未注明则拒绝

点击查看更多内容…
相关推荐
栏目导航
热门文章
推荐文章

说点什么

分享

加微信,拉你入群
微信外可尝试点击本链接进入