全部版块 我的主页
论坛 经济学论坛 三区 区域经济学
4273 4
2015-03-18
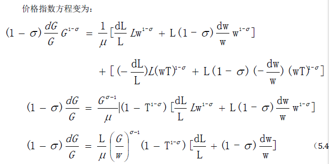
求克鲁格曼《空间经济学》价格指数效应与国内市场效应公式推导过程!!!
通过对G和w求全微分,推导过程是什么样的?怎么会出现红线标识的部分呢?我怎么算出来是加号不是减号呢?求大神教我详细的求解过程!!!跪求大神告诉详细求解过程!!!可发送邮件到984419060@qq.com
附件列表
二维码

扫码加我 拉你入群

请注明:姓名-公司-职位

以便审核进群资格,未注明则拒绝

全部回复
2015-4-2 10:50:39
QQ图片20150402104814.png
QQ图片20150402104844.png
感觉没什么可多说的,再算一遍吧
二维码

扫码加我 拉你入群

请注明:姓名-公司-职位

以便审核进群资格,未注明则拒绝

2015-4-9 18:54:53
yangyuzhou 发表于 2015-4-2 10:50
感觉没什么可多说的,再算一遍吧
感谢,已经弄懂了,当时没把给的条件看懂~~
二维码

扫码加我 拉你入群

请注明:姓名-公司-职位

以便审核进群资格,未注明则拒绝

2015-11-2 23:34:25
还是不懂楼主红线标注部分为什么是负号?求教了楼主。
二维码

扫码加我 拉你入群

请注明:姓名-公司-职位

以便审核进群资格,未注明则拒绝

2015-11-4 22:12:31
davidalessandro 发表于 2015-11-2 23:34
还是不懂楼主红线标注部分为什么是负号?求教了楼主。
总共有两个地区,在确定一个地区的劳动力为L之后,另一个地区的劳动力便为1-L,因此,对L求导时自然会出现负号;而且,在均衡点附近,一个地区某个变量的增长引起另外一个地区同一个变量大小相等但是方向相反的变化,那么变化的百分比出现相反的符号也很正常。建议你把原书再仔细看看
二维码

扫码加我 拉你入群

请注明:姓名-公司-职位

以便审核进群资格,未注明则拒绝

相关推荐
栏目导航
热门文章
推荐文章

说点什么

分享

扫码加好友,拉您进群
各岗位、行业、专业交流群