全部版块 我的主页
论坛 经济学论坛 三区 产业经济学
938 2
2015-04-08
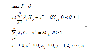
有没有什么软件可以处理这样一个改进的DEA模型的呀?求指导,公式和原始数据都有,请问该怎么解呢? QQ图片20150408142219.png                               

DMU工商银行农业中国建设交通中信光大
输入1 员工

545012

524484

195939

327147

44466

5907

2669

输入2 营业费率

3.67

17.8

19.5

15.3

19.4

15.3

9.12

输入3 一级资本

1838.93

1348.28

1395.5

1004.76

233.13

79.81

60.79

输出1 收益率

0.11

-0.05

0.17

0.09

0.53

1.5

1.74

输出2 人均利润

0.633

-0.174

1.8

0.503

6

33.9

48.8


二维码

扫码加我 拉你入群

请注明:姓名-公司-职位

以便审核进群资格,未注明则拒绝

全部回复
2015-4-8 16:36:29
二维码

扫码加我 拉你入群

请注明:姓名-公司-职位

以便审核进群资格,未注明则拒绝

2016-5-11 10:38:53
lz最后用了什么方法求解的?我也碰到一样的问题
二维码

扫码加我 拉你入群

请注明:姓名-公司-职位

以便审核进群资格,未注明则拒绝

相关推荐
栏目导航
热门文章
推荐文章

说点什么

分享

扫码加好友,拉您进群
各岗位、行业、专业交流群