经管之家App
让优质教育人人可得
立即打开
全部版块
我的主页
›
论坛
›
数据科学与人工智能
›
数据分析与数据科学
›
MATLAB等数学软件专版
matlab联立方程求解,出错,请指点
楼主
0ppo
3104
2
收藏
2015-05-06
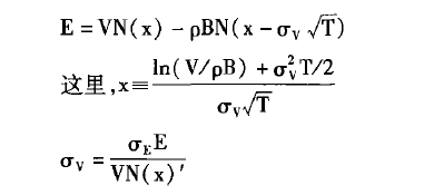
RV模型公式图片中,其中σv用a代替,编写公式如下,但是求解出错,请教指点一下,代码如下:
eq1='a=(0.346*30450000000)/(v*
diff(normcdf(x))
)';
eq2='30450000000=v*normcdf(x)-1*371295020000*normcdf(x-a)';
eq3='x=(log(v/1*371295020000)+a*a*0.5)/a';
s=solve(eq1,eq2,eq3,'a,v,x')
matlab说是第一句有问题,我觉得重点出在红色部分,求解答
E=30450000000,B=371295020000,ρ=1,T=1,
σ
E=0.346,求解,x, v 和a=(
σv
)
正确答案是
a=
(
σv
)=
0.0263
RV模型公式如下:
扫码加我 拉你入群
请注明:姓名-公司-职位
以便审核进群资格,未注明则拒绝
全部回复
沙发
enxizheng
2015-5-7 08:59:48
试试将红字部分换成概率密度的表达式
扫码加我 拉你入群
请注明:姓名-公司-职位
以便审核进群资格,未注明则拒绝
藤椅
0ppo
2015-5-8 09:14:47
我发现问题了,可以直接化简为两个方程,把x给替换了,还是努力求解中
扫码加我 拉你入群
请注明:姓名-公司-职位
以便审核进群资格,未注明则拒绝
相关推荐
MATLAB R2006a (2006版)HTTP下载
[分享]matlab中文参考手册
C语言与Matlab接口:编程与实例
“用Matlab做统计”的英文指导书(请先阅读后下载!)
请问大神们,我已经下载了matlab的杜宾模型程序,但不知道如何运用啊,求指导.....
MATLAB空间计量使用说明,手把手教,这要是再不会你就可以不用这个软件啦
Matlab中能仅仅运行选中的那部分代码吗?
Matlab問題, 含polylog函數
利用matlab怎么解含参数变量的方程组
请问哪位大神有混频数据模型的代码,matlab,r的,有偿求
栏目导航
MATLAB等数学软件专版
金融类
数据交流中心
真实世界经济学(含财经时事)
经管在职研
休闲灌水
热门文章
当AI遇见ML:高校教师如何借助AI与机器学习 ...
CDA 认证考试大纲 2025 重磅更新:一二级考 ...
CDA数据分析师实战:指标体系搭建的全流程方 ...
Essentials of Statistics for Research by ...
2025年AI智能体的兴起:未来展望报告(英)
祝贺奇瑞!祝贺尹同跃!
“奇瑞品质”再获权威认证
【自用整理,24更新!】2009-2024上市公司华证 ...
【24重磅,顶刊方法!】2010-2024上市公司绿色 ...
《数据要素发展报告(2025年)》---来源:中 ...
推荐文章
12月武汉站|Deepseek辅助论文写作与数据分 ...
2026JG学术冬训营:从Stata初高到Python机器 ...
关于如何利用文献的若干建议
关于学术研究和论文发表的一些建议
关于科研中如何学习基础知识的一些建议 (一 ...
一个自编的经济学建模小案例 --写给授课本科 ...
AI智能体赋能教学改革: 全国AI教育教学应用 ...
2025中国AIoT产业全景图谱报告-406页
关于文献求助的一些建议
几种免费下载文献的方法----我的文献应助经
说点什么
分享
微信
QQ空间
QQ
微博
扫码加好友,拉您进群
各岗位、行业、专业交流群