用AMOS进行问卷的验证性因子分析(包括模型参数估计、修正、拟合度检验)时,画好了路径图,导入数据,将变量数据拖到路径图上,点击分析,之后没有反应,还是【XX:Default model】,没有变成OK,底下显示【Minimization Iteration 1 Wrinting output】~具体我的模型及路径图等如下:跪求大神指导解救~

{:0_278:}
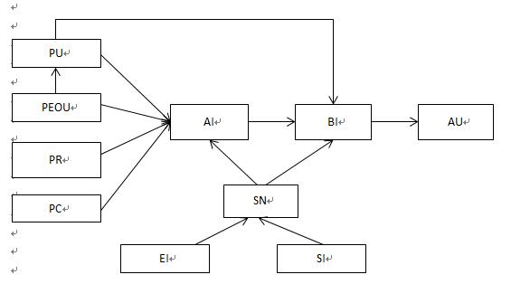
我的模型图:
我在AMOS中画的路径图:
我的部分数据源(只有底下的数据没截上,共216条数据):
AMOS中不分析的错误显示:
求大神指教,感激涕零~~