0:渐入大众视野的金融物理学
因为成功地预测了2008年7月原油泡沫和沪指2009年7月泡沫的爆破时点,金融物理学渐渐走入了大众的视野。下面的两幅图是金融物理学家们当时所做的预测图。


2009年7月的时候,香港的林行止先生曾著文介绍过金融物理学家们的即将到时间的对沪指的预测,其后被证实预测正确。大陆则是民间的经济研究家---海宁先生介绍过上述两个预测的导师----迪迪埃.索内特的研究工作。
索内特教授原本为地球物理学家,在该领域为世界上首屈一指的专家之一。2004年他出版了《为什么金融市场会崩溃》一书,从而频频在金融界露面。

值得注意的是他的研究团队里,有几位中国人:一是华中理工大学的周炜星教授,二是浙江大学的郑波教授。据报道:周教授目前正在从事的金融安全监测,包括深沪A股市场,当然处于保密状态.他们不公开对市场的看法,其实前两幅图的原文中都有周的名字.他2007年出版了综合教材<金融物理学导论>.这两人似乎都40不到,年轻呵!
1:俄罗斯金融物理学家对黄金市场将于4月底---5月初崩溃的预测!
这个大胆的预测,因为时间窗口的临近,越来越受人关注!注意他们在图中标的价格是经过CPI调整后的价格,即金价购买力。此外,他们这个时间窗与A股市场(沪指)的一个时间窗口接近(2011.4.15或20日娜一周)。
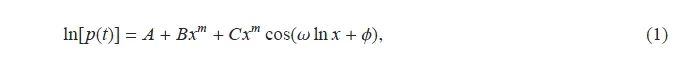
他们用的是下面的方程:
其一般形式为:
上式被称为对数周期性幂律(Log-periodic power-law ,L PPL)模型。注意上式中第二项和余弦函数项的乘项都是幂律形式。幂律增长(泡沫)或衰减(反泡沫)意味着价格的增长率不是常数,而是单调增大(泡沫)或减小(反泡沫)的。他们把这称为超指数(super-exponential)增长或衰减。另一个特点就是对数周期性振荡,在线性尺度下,越接近临界时间,振荡频率越快,但在对数尺度下,振荡频率为常数。式中需要确定7个参数:更详细的一般的形式:

yt > 0在时间为t时的价格(指数),或价格的对数值
A > 0是个值,假如泡沫持续到临界时间tc,则yt 将可能达到的价格;
B < 0 是在泡沫破裂前某个时间步长的 yt价格的增加值,假如C将接近于0。
C 是围绕指数增长的一个波动幅度量值,作为比例值。
tc > 0 是临界时间 is the critical time;
t < tc 是泡沫破灭前的任意时间 is any timeinto the bubble, preceding tc;
贝塔 = 0.33 正负 0.18 是幂指数 is the exponent of thepower law growth;
ω = 6.36 正负 1.56 是泡沫期波动的角频率
ф 初相位,大于0,小于2PI。
因为,他们在金价预测式中的A=1220.41,即金价泡沫可能达到的最大值,按CPI折算回来:则最大值为2700$。(见下图)当然他们不是说非要达到此值泡沫才破裂。

他们在金价预测式中的tc=2011.45,即临界时间为2011.6.14日。之所以报20114月底或5月初,是因为他们根据以往的经验,需要提前1.4个月。
从这两个数据看,也就不到两个月的时间,金价要达到2000以上,似乎比较困难,尽管按泡沫后期的价格会出现跳涨,飙升。如果按上次他们预测原油时,原油实际走到他们的理论临界时间看,即黄金走到6月中旬,倒有可能上2000。
同时要注意的是,他们并没有说黄金这次的破裂就是终极的泡沫破裂。也可能只是终极破裂前的一次重跌?
刘军洛说:“黄金市场如果“再版重演”2008年石油走势,那黄金将瞬间抽干全球的流动性,中国楼市和中国股市将瞬间同步崩盘70%,中国人民币也将同步崩盘。现在,美国金融部门+美国跨国公司+美国财政部+美国中央银行手上集合了高达6万亿美元现金”。所以黄金市场的影响力不能小觑。因为本博对美元的看法与刘先生相悖,仍坚持美元找到最终的底部转折点在2012年二季度左右。上次黄金泡沫破裂的时间(1980年1月),美元寻底直到当年的3季度,也就是说金价可能在美元见底之前的半年多时间爆破。所以,金融物理学家们的监测值得我们重视。
看到一位外国分析员的美元指数分析图,与本博近似:
另一个关联很大的市场就是大宗商品,也回顾一下:是82年见顶,反而滞后了两年!

商品市场更宏观地看:也接近了反转顶部:

来源:宽客俱乐部