全部版块 我的主页
论坛 数据科学与人工智能 数据分析与数据科学 MATLAB等数学软件专版
4394 4
2015-05-25
4P92S`W3QV%_H}X{Z1VL}WD.png
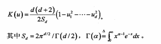
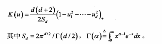
请问各位大神,上面的公式代表哪种核函数啊?在进行多元非参数回归时,像常用的高斯核函数,用程序语言怎么表示出来啊?一元的会表示,那多元的怎么处理呢?
附件列表
4P92S`W3QV%_H}X{Z1VL}WD.png

原图尺寸 25.78 KB

4P92S`W3QV%_H}X{Z1VL}WD.png

二维码

扫码加我 拉你入群

请注明:姓名-公司-职位

以便审核进群资格,未注明则拒绝

全部回复
2015-5-26 16:03:36
图中的核函数不常用,一般用高斯核或最优核。多元的核函数很简单,当做独立变量来处理就是多个高斯核函数连乘。
二维码

扫码加我 拉你入群

请注明:姓名-公司-职位

以便审核进群资格,未注明则拒绝

2015-5-27 16:26:50
十分感谢!
二维码

扫码加我 拉你入群

请注明:姓名-公司-职位

以便审核进群资格,未注明则拒绝

2015-5-27 16:28:35
hzcmaster 发表于 2015-5-26 16:03
图中的核函数不常用,一般用高斯核或最优核。多元的核函数很简单,当做独立变量来处理就是多个高斯核函数连 ...
十分感谢!
二维码

扫码加我 拉你入群

请注明:姓名-公司-职位

以便审核进群资格,未注明则拒绝

2017-4-8 11:20:38
hzcmaster 发表于 2015-5-26 16:03
图中的核函数不常用,一般用高斯核或最优核。多元的核函数很简单,当做独立变量来处理就是多个高斯核函数连 ...
您好,请问能请您来我的帖子下回答一个非参数相关的问题吗?感激不尽!
二维码

扫码加我 拉你入群

请注明:姓名-公司-职位

以便审核进群资格,未注明则拒绝

相关推荐
栏目导航
热门文章
推荐文章

说点什么

分享

扫码加好友,拉您进群
各岗位、行业、专业交流群