全部版块 我的主页
论坛 经济学论坛 三区 宏观经济学
4051 19
2015-07-21
最近在看刘斌的《动态随机一般均衡模型及其应用》,第二章24页的最终产品的生产中优化问题的一阶求导过程和28页中间产品定价的优化一阶条件,这两个求导不会,可有高手指点一下!若能写出求导过程感激不尽!
二维码

扫码加我 拉你入群

请注明:姓名-公司-职位

以便审核进群资格,未注明则拒绝

全部回复
2015-7-21 22:56:52
lajdlihcshtor 发表于 2015-7-21 22:35
最近在看刘斌的《动态随机一般均衡模型及其应用》,第二章24页的最终产品的生产中优化问题的一阶求导过程和 ...
同求
二维码

扫码加我 拉你入群

请注明:姓名-公司-职位

以便审核进群资格,未注明则拒绝

2015-7-22 23:04:36

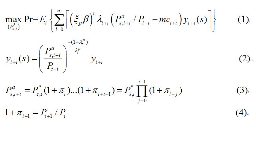
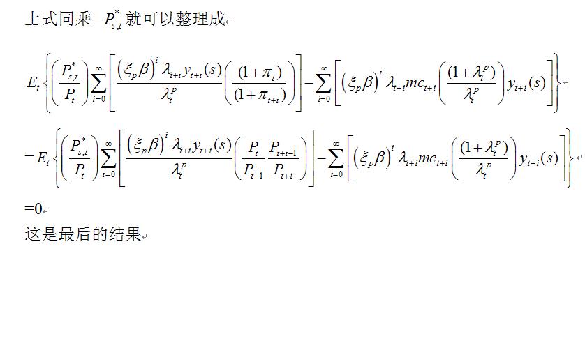
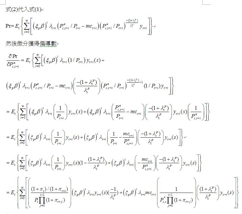
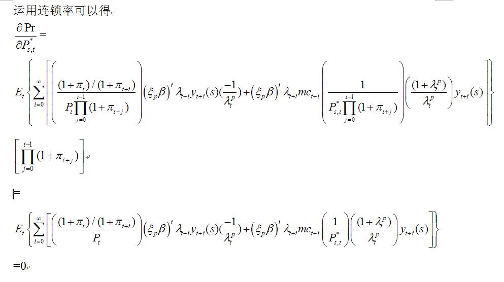
推导过程如下

DSGE推导过程


至于楼主提第28页中间产品定价的优化一阶条件,我没找到,我只看到对s类中间产品的需求就只是把 yt  变成adt yt(s) 变成 adt(s)。这很容易理解:对中间产品的需求不就是最终商品厂商对中间产品的需求,这边只是改为整个社会加总而已。

附件列表
add-in02.JPG

原图尺寸 55.44 KB

add-in02.JPG

add-in01.JPG

原图尺寸 35.34 KB

add-in01.JPG

DSGE.JPG

原图尺寸 52.49 KB

DSGE.JPG

二维码

扫码加我 拉你入群

请注明:姓名-公司-职位

以便审核进群资格,未注明则拒绝

2015-7-22 23:19:34
yenfeng1 发表于 2015-7-22 23:04
推导过程如下
非常感谢您的解答。这个推导过程是你自己推导的吗?你提到28页的推导没找到,是不是说这本书的推导过程在哪里可以找到?急需这本书的模型推导过程
二维码

扫码加我 拉你入群

请注明:姓名-公司-职位

以便审核进群资格,未注明则拒绝

2015-7-22 23:20:45
yenfeng1 发表于 2015-7-22 23:04
推导过程如下
还有就是后面的Eviews Add-Ins这是什么?能介绍下吗,谢谢!
二维码

扫码加我 拉你入群

请注明:姓名-公司-职位

以便审核进群资格,未注明则拒绝

2015-7-22 23:23:27
是阿,是自己推的,不難。28页没有樓主說的一阶条件,他只是按照我说的那样写下来,不然就是市场结清条件。这些都可以推出来。
二维码

扫码加我 拉你入群

请注明:姓名-公司-职位

以便审核进群资格,未注明则拒绝

点击查看更多内容…
相关推荐
栏目导航
热门文章
推荐文章

说点什么

分享

扫码加好友,拉您进群
各岗位、行业、专业交流群