经管之家App
让优质教育人人可得
立即打开
全部版块
我的主页
›
论坛
›
数据科学与人工智能
›
数据分析与数据科学
›
R语言论坛
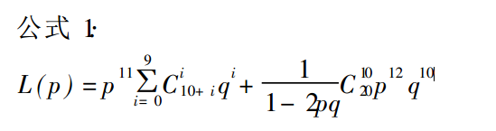
这个计算函数值得程序对吗?貌似有点问题求帮我看下
楼主
RavenZdh
811
5
收藏
2015-08-06
扫码加我 拉你入群
请注明:姓名-公司-职位
以便审核进群资格,未注明则拒绝
全部回复
沙发
万人往LVR
2015-8-6 14:22:18
之前x怎么定义的
扫码加我 拉你入群
请注明:姓名-公司-职位
以便审核进群资格,未注明则拒绝
藤椅
RavenZdh
2015-8-6 14:54:26
万人往LVR 发表于 2015-8-6 14:22
之前x怎么定义的
我是打算用x来算这个函数需要累加的那个部分,然后累加起来
扫码加我 拉你入群
请注明:姓名-公司-职位
以便审核进群资格,未注明则拒绝
板凳
万人往LVR
2015-8-6 15:54:30
我问你写函数之前x怎么定义的,直接x[i]会报错
扫码加我 拉你入群
请注明:姓名-公司-职位
以便审核进群资格,未注明则拒绝
报纸
a443115637
2015-8-27 20:28:33
没必要用fun,直接用for.
p=q=0.5
for(i in 0:9){
x<-(p^11)*choose(10+i,i)*(q^i)+1/(1-2*p*q)*choose(20,10)*(p^12)*(q^10)
print(x)
}
扫码加我 拉你入群
请注明:姓名-公司-职位
以便审核进群资格,未注明则拒绝
地板
asdasdaseee
2015-8-28 03:03:10
不用写循环,直接函数的话
f<-function(p=0.5){
q<-1-p
i<-0:9
r<-(p^11)*sum(choose(10+i,i)*(q^i))+
choose(20,10)*(p^12)*(q^10)/(1-2*p*q)
return(r)
}
f(runif(1))
#限定在p为标量,且在01之间。
扫码加我 拉你入群
请注明:姓名-公司-职位
以便审核进群资格,未注明则拒绝
相关推荐
On the Robustness of Unit Root Tests in the Presence of Double Unit Roots
论坛开张并诚招版主
庆祝论坛开张并诚招版主
有志于报考人大经济学院的同学朋友们看过来
庆祝论坛开张并诚招各分论坛版主
On the Robustness of Unit Root Tests in the Presence of Double Unit Roots
双单位根存在情况下单位根检验的稳健性研究
Local Power Functions of Tests for Double Unit Roots
周小川:调利率还需观察 息口盯住5%通胀率
栏目导航
R语言论坛
经管文库(原现金交易版)
真实世界经济学(含财经时事)
宏观经济学
经管高考
数据交流中心
热门文章
CDA数据分析师:以数据思维赋能企业管理,驱 ...
CDA全国考点信息一览(更新于2025年12月10日 ...
企业级AI平台发展趋势报告(2026)
【24重磅,顶刊热点!】2001-2024上市公司大数 ...
当AI遇见ML:高校教师如何借助AI与机器学习 ...
CDA 认证考试大纲 2025 重磅更新:一二级考 ...
CDA数据分析师实战:指标体系搭建的全流程方 ...
Essentials of Statistics for Research by ...
Navigating Qualitative Research: A Compr ...
2026年市场展望报告-机遇与挑战并存
推荐文章
12月武汉站|Deepseek辅助论文写作与数据分 ...
2026JG学术冬训营:从Stata初高到Python机器 ...
关于如何利用文献的若干建议
关于学术研究和论文发表的一些建议
关于科研中如何学习基础知识的一些建议 (一 ...
一个自编的经济学建模小案例 --写给授课本科 ...
AI智能体赋能教学改革: 全国AI教育教学应用 ...
2025中国AIoT产业全景图谱报告-406页
关于文献求助的一些建议
几种免费下载文献的方法----我的文献应助经
说点什么
分享
微信
QQ空间
QQ
微博
扫码加好友,拉您进群
各岗位、行业、专业交流群