全部版块 我的主页
论坛 数据科学与人工智能 数据分析与数据科学 SPSS论坛
5645 2
2015-09-01
三因素的重复测量设计的实验
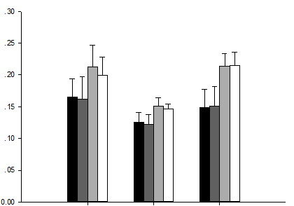
被试内因素分别为状态(活动,休息)、不同脑区的神经传导量(A/B/C)以及被试间因素性别(Male/Female)

重复测量方差分析的结果显示只有传导量的主效应显著,各个因素之间的交互都不显著,因此只做了传导量的事后检验

然而作图时候发现实际在传导量的A和C两个水平上,性别都表现出挺大的差距,如图
QQ图片20150901094858.png

想请问一下这种情况是否应该考虑做一下性别和传导量之间的简单效应分析呢?
附件列表
QQ图片20150901094858.png

原图尺寸 2.75 KB

QQ图片20150901094858.png

二维码

扫码加我 拉你入群

请注明:姓名-公司-职位

以便审核进群资格,未注明则拒绝

全部回复
2015-9-1 10:46:18
直观观察不代表统计推断,交互作用不显著就不需要简单效应分析,即使进行分析也不会达到显著性水平。
二维码

扫码加我 拉你入群

请注明:姓名-公司-职位

以便审核进群资格,未注明则拒绝

2015-9-1 10:53:10
bfzldh 发表于 2015-9-1 10:46
直观观察不代表统计推断,交互作用不显著就不需要简单效应分析,即使进行分析也不会达到显著性水平。
明白了,十分感谢坛友的帮助
二维码

扫码加我 拉你入群

请注明:姓名-公司-职位

以便审核进群资格,未注明则拒绝

相关推荐
栏目导航
热门文章
推荐文章

说点什么

分享

扫码加好友,拉您进群
各岗位、行业、专业交流群