全部版块 我的主页
论坛 提问 悬赏 求职 新闻 读书 功能一区 经管百科 爱问频道
1340 1
2015-09-15
请问:
多元线性的时候可以进行共线性诊断,非线性回归的时候怎样进行共线性诊断?
这是我的数据结构。
QQ图片20150915231155.jpg
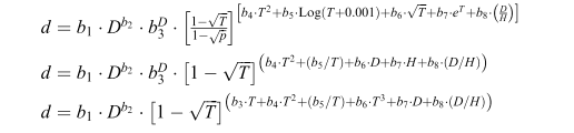
这三个模型, QQ图片20150915231140.png
R软件怎样进行共线性检验?


二维码

扫码加我 拉你入群

请注明:姓名-公司-职位

以便审核进群资格,未注明则拒绝

全部回复
2015-9-16 01:03:22
好复杂
www.behance.net/fp0592xm,www.behance.net/fp021sh,www.behance.net/fp0755sz,www.behance.net/fp024sy,www.behance.net/fp0311sjz,www.behance.net/fp0512suz,www.behance.net/fp0351ty,www.behance.net/fp022tj,www.behance.net/fp0510wx,www.behance.net/fp027wh,www.behance.net/fp029xa,www.behance.net/fp0431cc,www.behance.net/fp0731cs,www.behance.net/fp0371zz,www.behance.net/fp023cq,www.behance.net/kp010bj,www.behance.net/kp028cd,www.behance.net/kp0411dl,www.behance.net/kp0591fz,www.behance.net/kp020gz,www.behance.net/kp0851gy,www.behance.net/kp0451heb,www.behance.net/kp0571hz,www.behance.net/kp0551hf,www.behance.net/kp0531jn,www.behance.net/kp0871km,www.behance.net/kp0931lz,www.behance.net/kp0791nc,www.behance.net/kp025nj,www.behance.net/kp0771nn,www.behance.net/kp0574nb,www.behance.net/kp0532qd,www.behance.net/kp0592xm,www.behance.net/kp021sh,www.behance.net/kp0755sz,www.behance.net/kp024sy,www.behance.net/kp0311sjz,www.behance.net/kp0512suz,www.behance.net/kp0351ty,www.behance.net/kp022tj,www.behance.net/kp0510wx,www.behance.net/kp027wh,www.behance.net/kp029xa,www.behance.net/kp0431cc,www.behance.net/kp0731cs,www.behance.net/kp0371zz,www.behance.net/kp023cq,www.behance.net/bjdkfp010,
二维码

扫码加我 拉你入群

请注明:姓名-公司-职位

以便审核进群资格,未注明则拒绝

相关推荐
栏目导航
热门文章
推荐文章

说点什么

分享

扫码加好友,拉您进群
各岗位、行业、专业交流群