经管之家App
让优质教育人人可得
立即打开
全部版块
我的主页
›
论坛
›
经济学论坛 三区
›
宏观经济学
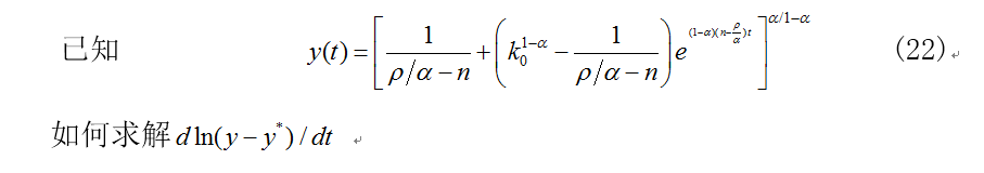
请教这个公式 如何计算
楼主
李钊郗
937
0
收藏
2015-10-30
这里是求解一下y 在均衡解y* 附近的收敛速度 请问一下 如何求解?
扫码加我 拉你入群
请注明:姓名-公司-职位
以便审核进群资格,未注明则拒绝
相关推荐
三人博弈求均衡(请帮忙)
混同均衡解怎么求啊?求教各位
这篇文章里的混同均衡解是怎么求出来的呀?求教各位了
求助,求助,求助。。。。。快要疯了
伯特兰德均衡解,谁能帮帮我这道题目
Nash均衡解
有偿求一个博弈论建模
为什么这两道题一个用均衡解法就可以直接求,另一个则要通过画图
错误的帖子
求解唯一均衡解
栏目导航
宏观经济学
微观经济学
经管文库(原现金交易版)
金融实务版
产业经济学
博弈论
热门文章
《那年2003:我双手插兜,搞钱不知什么叫对 ...
无限维空间上的测度和积分
在概率与代码之间:Agent Skills 是 AI 的枷 ...
CDA数据分析脱产就业班于2026年3月7日开班! ...
参数估计:CDA数据分析师的核心推断工具,用 ...
通用指标与场景指标:CDA数据分析师的核心分 ...
GeoSaaS永久会员版
全国国土利用现状、耕地、园地、林地分布等 ...
癌症·真相:医生也在读(菠萝)
2024年合集 ESG评级数据大全(彭博 华证 Wi ...
推荐文章
2026JG学术冬训营:从Stata初高到Python机器 ...
【必看】【本版版规,欢迎发悬赏贴求助】
【新课】26年3月|Gemini辅助论文写作与数据 ...
关于如何利用文献的若干建议
关于学术研究和论文发表的一些建议
关于科研中如何学习基础知识的一些建议 (一 ...
一个自编的经济学建模小案例 --写给授课本科 ...
AI智能体赋能教学改革: 全国AI教育教学应用 ...
2025中国AIoT产业全景图谱报告-406页
关于文献求助的一些建议
说点什么
分享
微信
QQ空间
QQ
微博
扫码加好友,拉您进群
各岗位、行业、专业交流群