全部版块 我的主页
论坛 休闲区 十二区 跨学科讨论区 哲学与心理学版
3341 2
2015-11-30

自然与人-11.6   影响各天体自转速度的大小及变化的因素

李开乐

    摘要:行星自转角速度的大小,应该与行星距离太阳远近、行星的质量大小、直径大小、密度大小等多因素都有一定关系。但是,因各行星情况不同而使自转动能的消耗速率各异,就会使那些密切的关系随着时间的延长而逐渐遭到破坏。


    在“自然与人-11.3”中曾经提到天体现有自转角速度的大小,不仅仅与天体当初飞出来的远近有关系。在此我们从较全面的角度出发,具体讨论一下天体自转的快慢究竟应该与哪些因素有关系。

    根据所翻阅的不同资料并经过一些综合和计算,得到表11.6-1。表中各种数据来源不一,笔者只用于定性讨论问题。若需要精确值,请以天文部门的资料为准。

    从“自然与人-11.3”的讨论可知,被喷射而离开核球的天体如果跑得越远,自转角速度就会越大。一般地说,现在距离太阳较远的行星,当初就是被喷射得较远的液态球,所以当时的自转角速度也会较大。虽然经过漫长的岁月之后,行星与太阳的距离会发生变化,各行星的自转角速度就更是各自发生了不少变化,而且由于不同行星的质量、密度、大小、物态、内动等情况的不同,使各行星的自转角速度的变化速率参差不齐,但是从表11.6-1的情况看依然可粗略见到,相对于太阳平均距离较大的行星,自转角速度仍然有较大的趋势(天王星除外)。

    从表11.6-1还可以明显看到,除了行星对太阳的平均距离之外,行星的质量、行星的赤道直径(或半径)以及行星的密度等,都与行星的自转角速度有一定的相关关系。实际上,在行星把公转动能转换为自转动能的过程中,直径较大的行星就会有较大的力矩,这对于转换作用就较有利。当然,体积大的行星,既有大的直径,又有大的质量,所以一般地说,体积较大或者质量较大的行星,就可得到较大的自转角速度。总之,自转角速度的大小必然与多因素有关,而多因素本身也彼此相关。

    然而,由于各个行星表面的状况不同,内部熔液的状态又有差异,球面之外的气层也各不一样,各个层次的不同流体的环流情况还有差别,所以,主要由这些环流所引起的,各个行星自转动能的消耗速率就肯定不一样,这便会使自转角速度与各因素的密切关系,随着时间的推移而逐渐遭到了破坏。

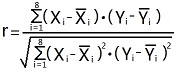
    表11.6-2给出了行星自转角速度与各因素的相关系数r。r由如下公式进行计算:

公式-r.jpg

其中,Yi是表11.6-1中自转角速度的资料, Yi平均.jpgYi的平均值,Xi是各项相关因素资料, Xi平均.jpg 是各组Xi值的平均值。

    虽然从表11.6-1仍然可以见到距离太阳较远的行星,其自转角速度依然有较大的趋势,但也许由于天王星的特殊情况使自转角速度出现了很大负值,所以表11.6-2所反映出来的计算结果却显示了“行星对太阳的平均距离”与行星自转角速度之间,实际上已经不存在相关关系了。当然,除了天王星这个特殊因素影响了计算结果之外,由于各行星的各自影响自转角速度变化率的因素不同,已经明显地使各自的自转角速度发生了不同的变化。可以预料,随着时间的推移,哪怕剔除了天王星这个特殊因素依然不会有好的相关关系。关于这个问题,在后面还会再做些具体分析。

表11.6-1.JPG

表11.6-2.JPG









附件列表
公式-r.jpg

原图尺寸 18.85 KB

公式-r.jpg

二维码

扫码加我 拉你入群

请注明:姓名-公司-职位

以便审核进群资格,未注明则拒绝

全部回复
2015-11-30 15:17:45
提示: 作者被禁止或删除 内容自动屏蔽
二维码

扫码加我 拉你入群

请注明:姓名-公司-职位

以便审核进群资格,未注明则拒绝

2015-11-30 18:14:15
感谢您能一直深入关注我的帖子!就希望有更多的自然科学专家也能这样。
二维码

扫码加我 拉你入群

请注明:姓名-公司-职位

以便审核进群资格,未注明则拒绝

相关推荐
栏目导航
热门文章
推荐文章

说点什么

分享

扫码加好友,拉您进群
各岗位、行业、专业交流群