经管之家App
让优质教育人人可得
立即打开
全部版块
我的主页
›
论坛
›
经济学论坛 三区
›
微观经济学
›
经济金融数学专区
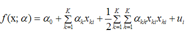
各位老师,请问这个公式叫什么,应该怎么用?
楼主
小于儿
870
0
收藏
2016-01-02
,
请问这个公式叫做什么,是我在英文文献上看到的,想知道它能用什么方法
或软件
回归数
据
,谢谢大家,谢谢!!
扫码加我 拉你入群
请注明:姓名-公司-职位
以便审核进群资格,未注明则拒绝
相关推荐
下载英文文献——新手的总结
这样的时序图,要做什么模型啊!!!
多个市场达到均衡,并且多个市场之间有关联,要用什么方法啊
请问想比较两组变量影响作用大小时可以采用什么方法?
求赐教
高血脂的治疗可以选择什么方法
各位老师,请问这个公式叫什么,应该怎么用?
各位老师,请问这个公式叫什么,应该怎么用?
如何才能提高论坛问卷回收量?
每只股票每日的动量因子怎么取
栏目导航
经济金融数学专区
经管在职研
经管高考
经管文库(原现金交易版)
真实世界经济学(含财经时事)
外语学习
热门文章
表格结构数据特征与CDA数据分析师:精准适配 ...
CDA 认证考试大纲 2025 重磅更新:一二级考 ...
数论I : Fermat的梦想和类域论
普华永道 - 中国影响力报告2025
房地产行业:2026年,年轻人应该先买车还是 ...
2026年中国企业AI人才与组织发展报告
【应用统计学资料】98份应用统计学资料合集
2025年低空经济发展趋势报告:“动荡调整” ...
表格结构数据的核心特征及具象实例解析
2026中信里昂风水指数
推荐文章
2026JG学术冬训营:从Stata初高到Python机器 ...
【必看】【本版版规,欢迎发悬赏贴求助】
26年寒假天津站|Gemini论文写作&数据分析 ...
关于如何利用文献的若干建议
关于学术研究和论文发表的一些建议
关于科研中如何学习基础知识的一些建议 (一 ...
一个自编的经济学建模小案例 --写给授课本科 ...
AI智能体赋能教学改革: 全国AI教育教学应用 ...
2025中国AIoT产业全景图谱报告-406页
关于文献求助的一些建议
说点什么
分享
微信
QQ空间
QQ
微博
扫码加好友,拉您进群
各岗位、行业、专业交流群