全部版块 我的主页
论坛 计量经济学与统计论坛 五区 计量经济学与统计软件 Stata专版
2909 1
2016-03-01
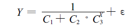
有两个非线性增长模型的回归,第一个是 普通增长模型

X代表人均GDP,Y代表保险深度,C1、C2、C3代表三个参数,最后一项为残差。
第二为调整增长模型,是
调整增长模型

X代表人均GDP,Y代表保险深度,C1、C2、C3代表三个参数,Di为国别的虚拟变量,Tj为年份的虚拟变量,最后一项为残差。

问题:1.数据是面板数据,做这个模型的拟合时是不是不能用面板数据,只看做截面数据?
           2.第二个调整增长模型加入虚拟变量之后怎么回归呀?

针对第一个模型,我的stata程序是这样的:
      直接看成了截面数据,把数据设置成了两列。
代码:
rename var1 y
rename var2 x
gen yi=1/y
nl exp3 yi x
est sto yia

这样做是不是没考虑残差项呀?如果不对,正确的做法是什么呢?请各位大神帮忙!跪谢!

附件列表
X1ES{P15C2HK8NS264L@ARR.png

原图尺寸 21.78 KB

X1ES{P15C2HK8NS264L@ARR.png

二维码

扫码加我 拉你入群

请注明:姓名-公司-职位

以便审核进群资格,未注明则拒绝

全部回复
2022-3-28 16:41:11
可以看看这篇文章 希望对你有帮助:
https://bbs.pinggu.org/thread-10709977-1-1.html
二维码

扫码加我 拉你入群

请注明:姓名-公司-职位

以便审核进群资格,未注明则拒绝

相关推荐
栏目导航
热门文章
推荐文章

说点什么

分享

扫码加好友,拉您进群
各岗位、行业、专业交流群