全部版块 我的主页
论坛 数据科学与人工智能 数据分析与数据科学 R语言论坛
3520 2
2016-04-01
悬赏 10 个论坛币 未解决
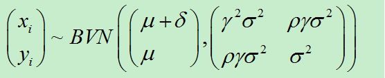
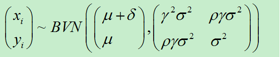
求各位大神相助:      已知几个参数的联合先验分布和似然函数,推导得到这些参数的联合后验分布形式(但是只是成比例的,并不是真实的分布形式),然后我希望求得其中一个参数在某个区间的概率?要用MCMC抽样吗?具体要怎么实现?各位亲们帮帮忙!已知xi和yi服从二元正态分布:


概率密度函数:

似然函数为:

其中

参数的联合先验分布为:

参数的联合后验分布为:
联合分布是积分形式的,就我如果参数的联合分布得到delta的分布,或者是在某个区间的概率?
R中有现成的用于贝叶斯估计的函数吗?
请各位大神帮帮忙,在下感激不尽!

二维码

扫码加我 拉你入群

请注明:姓名-公司-职位

以便审核进群资格,未注明则拒绝

全部回复
2016-4-1 19:19:07
图片显示好像有问题
二维码

扫码加我 拉你入群

请注明:姓名-公司-职位

以便审核进群资格,未注明则拒绝

2016-4-1 19:22:29
求各位大神相助:      已知几个参数的联合先验分布和似然函数,推导得到这些参数的联合后验分布形式(但是只是成比例的,并不是真实的分布形式),然后我希望求得其中一个参数在某个区间的概率?要用MCMC抽样吗?具体要怎么实现?各位亲们帮帮忙!已知xi和yi服从二元正态分布:
无标题1.png

概率密度函数:
无标题2.png
似然函数为:
无标题3.png
其中
无标题4.png
参数的联合先验分布为:
无标题5.png
参数的联合后验分布为: 无标题6.png
联合分布是积分形式的,就我如果参数的联合分布得到delta的分布,或者是在某个区间的概率?

R中有现成的用于贝叶斯估计的函数吗?
附件列表
无标题2.png

原图尺寸 10.89 KB

无标题2.png

无标题3.png

原图尺寸 8.47 KB

无标题3.png

无标题1.png

原图尺寸 6.69 KB

无标题1.png

无标题6.png

原图尺寸 8.44 KB

无标题6.png

无标题5.png

原图尺寸 6.75 KB

无标题5.png

无标题4.png

原图尺寸 10.98 KB

无标题4.png

无标题3.png

原图尺寸 8.47 KB

无标题3.png

无标题2.png

原图尺寸 10.89 KB

无标题2.png

无标题1.png

原图尺寸 6.69 KB

无标题1.png

无标题4.png

原图尺寸 10.98 KB

无标题4.png

无标题3.png

原图尺寸 8.47 KB

无标题3.png

无标题2.png

原图尺寸 10.89 KB

无标题2.png

无标题1.png

原图尺寸 6.69 KB

无标题1.png

二维码

扫码加我 拉你入群

请注明:姓名-公司-职位

以便审核进群资格,未注明则拒绝

相关推荐
栏目导航
热门文章
推荐文章

说点什么

分享

扫码加好友,拉您进群
各岗位、行业、专业交流群