经管之家App
让优质教育人人可得
立即打开
全部版块
我的主页
›
论坛
›
数据科学与人工智能
›
数据分析与数据科学
›
SAS专版
急等,如何用sas求解方程?
楼主
qinhan88
1902
1
收藏
2016-04-25
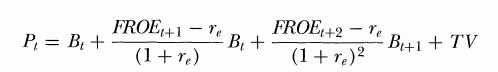
最近在算公司的股权融资成本,其他变量已知,需要对每个公司求解贴现率re,具体如下图所示,
不知道用sas的什么功能能够实现,请各位大神不吝赐教!!!
扫码加我 拉你入群
请注明:姓名-公司-职位
以便审核进群资格,未注明则拒绝
全部回复
沙发
qinhan88
2016-4-25 09:51:30
来个大神解决一下吧
扫码加我 拉你入群
请注明:姓名-公司-职位
以便审核进群资格,未注明则拒绝
相关推荐
求助 如何用SAS解方程
高手请解方程(或加以分析)x=[a+d√(x+b)]/[a+e√(x+c])
求解方程
请问如何用VBA解方程?
如何用SAS的宏来简化一个重复操作?
请教一个解方程的问题
请问如何用SAS解方程
sas 9.1 破解后如何用取正确的系统时间,谢谢!
如何用R解方程 f(x,y,z)=0
求助:如何用GLS模型测度股权融资成本啊?GLS模型要编程吗?
栏目导航
SAS专版
经管在职研
学术资源/课程/会议/讲座
金融学(理论版)
外语学习
互联网金融与Fintech版
热门文章
CDA数据分析脱产就业班于2026年3月7日开班! ...
Measure Theory for Analysis and Probabil ...
现代数学基础19 偏微分方程 孔德兴
科研时间70%耗在“下载-复制-粘贴”?零代码 ...
精准匹配,菁英相伴--经管之家单身俱乐部, ...
CDA数据分析师:商业数据分析实践的核心执行 ...
我该如何记住你?智能体记忆系统的演化之路
CDA 认证考试大纲 2025 重磅更新:一二级考 ...
Stata 19.0 Win 安装文件
2025中国成人健康管理洞察
推荐文章
2026JG学术冬训营:从Stata初高到Python机器 ...
【必看】【本版版规,欢迎发悬赏贴求助】
26年寒假天津站|Gemini论文写作&数据分析 ...
关于如何利用文献的若干建议
关于学术研究和论文发表的一些建议
关于科研中如何学习基础知识的一些建议 (一 ...
一个自编的经济学建模小案例 --写给授课本科 ...
AI智能体赋能教学改革: 全国AI教育教学应用 ...
2025中国AIoT产业全景图谱报告-406页
关于文献求助的一些建议
说点什么
分享
微信
QQ空间
QQ
微博
扫码加好友,拉您进群
各岗位、行业、专业交流群