经管之家App
让优质教育人人可得
立即打开
全部版块
我的主页
›
论坛
›
休闲区 十二区
›
灌水吧
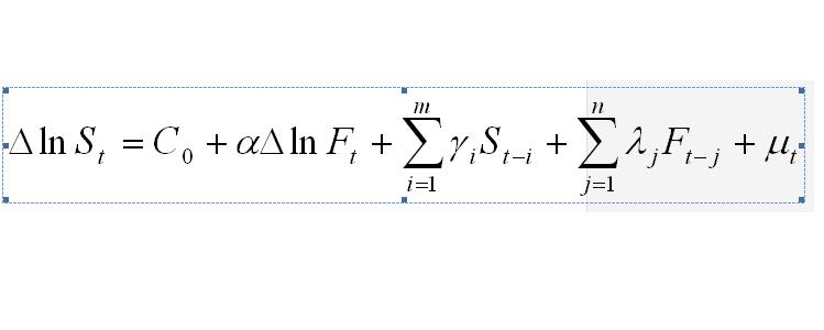
做股指期货套期保值率研究,求B-VAR模型的eviews具体操作步骤和建模之前的滞后期数?
楼主
ge6993275
826
0
收藏
2016-05-21
扫码加我 拉你入群
请注明:姓名-公司-职位
以便审核进群资格,未注明则拒绝
相关推荐
用Eviews建立var模型出错,求高手指点
Eviews VAR模型月度数据和季度数据怎样处理?
请教eviews做VaR模型
EVIEWS关于VAR模型、协整关系、因果检验滞后期选择
用Eviews做SVAR模型遇到一些疑点,翻遍了论坛都未有人解答。
请问Eviews中对建立静态var和动态var模型的操作上有何区别
Eviews VAR模型的滞后阶数检验结果怎么选择
用两个样本在Eviews中跑同一个var模型,怎么判断两个样本得出的方程中系数是否存在显
用两个样本在Eviews中跑同一个var模型,怎么判断两个样本得出的方程中系数是否存在显
Eviews中VAR模型操作、脉冲响应分析和方差分解讲义-ppt
栏目导航
灌水吧
行业分析报告
经管文库(原现金交易版)
经管高考
求助成功区
经管考证
热门文章
CDA 认证考试大纲 2025 重磅更新:一二级考 ...
Gemini准确率从21%飙到97%!谷歌只用了这一 ...
CDA数据分析脱产就业班于2025年12月08日开班 ...
兴业研究-库存周期分析
《2025全球电子商务手册》中文简版
Inference and optimal censoring scheme f ...
现代数学译丛06应用偏微分方程 中译本,John ...
本周顶尖人工智能工具
2025年零售新品情报合集
中国银发经济行业报告2025
推荐文章
【必看】【本版版规,欢迎发悬赏贴求助】
26年寒假天津站|Gemini论文写作&数据分析 ...
2026JG学术冬训营:从Stata初高到Python机器 ...
关于如何利用文献的若干建议
关于学术研究和论文发表的一些建议
关于科研中如何学习基础知识的一些建议 (一 ...
一个自编的经济学建模小案例 --写给授课本科 ...
AI智能体赋能教学改革: 全国AI教育教学应用 ...
2025中国AIoT产业全景图谱报告-406页
关于文献求助的一些建议
说点什么
分享
微信
QQ空间
QQ
微博
扫码加好友,拉您进群
各岗位、行业、专业交流群