经管之家App
让优质教育人人可得
立即打开
全部版块
我的主页
›
论坛
›
休闲区 十二区
›
灌水吧
Eviews 怎么根据自相关和偏自相关图判断ARIMA阶数
楼主
YELLOW_Suger
1837
1
收藏
2016-05-24
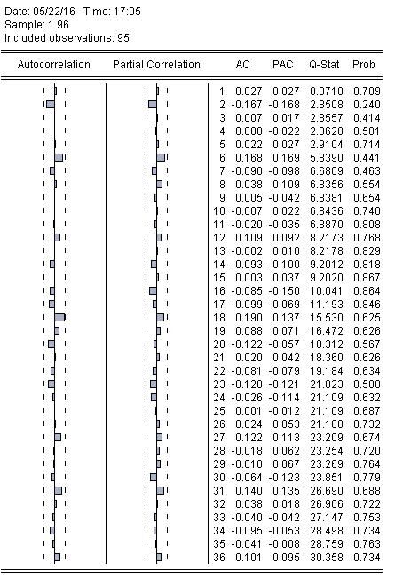
在做时间序列的大作业,但是没学过Eviews。。。求大神帮判断下这个图,做了一阶差分,怎么判断ARIMA阶数?
附件列表
QQ图片20160524110019.jpg
原图尺寸 83.79 KB
扫码加我 拉你入群
请注明:姓名-公司-职位
以便审核进群资格,未注明则拒绝
全部回复
沙发
烟雨忆梦
2016-7-25 20:20:47
你这个结果看来没有自相关啊,p 值都大于0.05了,根本不用做arma
扫码加我 拉你入群
请注明:姓名-公司-职位
以便审核进群资格,未注明则拒绝
栏目导航
灌水吧
经管文库(原现金交易版)
经管高考
宏观经济学
LATEX论坛
悬赏大厅
热门文章
助力高阶认证备考!CDA 三级新上线第一套官 ...
全球高校名单数据
《AI+医疗治理白皮书2026》
【推荐】上市公司过度负债指标计算Stata代码 ...
告别熬夜头秃!3天论文特训,实现从“无从下 ...
一点写代码的心得:“你可别再重构了!”
CDA 认证考试大纲 2025 重磅更新:一二级考 ...
杨威老师的股海捕鱼
CDA数据分析脱产就业班于2025年12月08日开班 ...
2026价值投资者白皮书
推荐文章
26年寒假天津站|Gemini论文写作&数据分析 ...
2026JG学术冬训营:从Stata初高到Python机器 ...
关于如何利用文献的若干建议
关于学术研究和论文发表的一些建议
关于科研中如何学习基础知识的一些建议 (一 ...
一个自编的经济学建模小案例 --写给授课本科 ...
AI智能体赋能教学改革: 全国AI教育教学应用 ...
2025中国AIoT产业全景图谱报告-406页
关于文献求助的一些建议
几种免费下载文献的方法----我的文献应助经
说点什么
分享
微信
QQ空间
QQ
微博
扫码加好友,拉您进群
各岗位、行业、专业交流群