原图尺寸 696.72 KB
请注明:姓名-公司-职位
以便审核进群资格,未注明则拒绝
jiagangw 发表于 2016-8-26 15:51
Nelsh--Deng 发表于 2016-9-6 10:39 您好,我想继续请教您一下,还是这本书,106面的(4.16)式为什么成立?谢谢
jiagangw 发表于 2016-9-6 10:46 很抱歉,我不知道是哪一本书。请将书名及作者也写上我再看看,尽量给个答复。
Nelsh--Deng 发表于 2016-9-6 12:18 A Probability path 作者是Resnick。谢谢哦
jiagangw 发表于 2016-9-6 16:18
Nelsh--Deng 发表于 2016-9-9 14:40 您好,谢谢您的热心帮助。但是我还是看不懂,琢磨了好久,请问这些极限的包含关系哪本书有讲到?谢谢!
马上下载
原图尺寸 99.79 KB
jiagangw 发表于 2016-9-10 16:07 回复有不清楚的地方欢迎提出来,我愿尽量细仔地给出答复。 对
疑惑.pdf
大小:156.76 KB
Nelsh--Deng 发表于 2016-9-23 10:29 老师,这是上次看完证明之后的一点迷惑,还请老师多指点。非常感谢老师您的耐心指导。
测度论问题.pdf
大小:148.88 KB
Nelsh--Deng 发表于 2016-9-29 14:49 尊敬的汪老师: 您好,最近遇到一些困惑的问题,还请老师您多多指点。
jiagangw 发表于 2016-9-29 17:24
原图尺寸 90.6 KB
Nelsh--Deng 发表于 2016-10-7 15:39 老师,您好,我还是不怎么懂,您可以用ξ-δ语言证明吗?谢谢老师。
Nelsh--Deng 发表于 2016-10-7 22:59 汪老师,您好,我又来打扰您了,这几天看书有梳理了一些问题,想请教老师,还请老师指导。学生谢谢了。
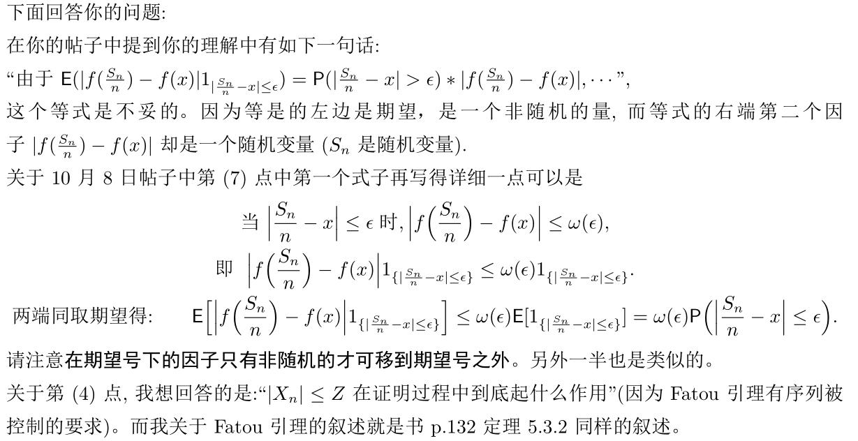
jiagangw 发表于 2016-10-8 16:48
jiagangw 发表于 2016-10-8 11:22 这个证明是一种常用的证明。若不清楚,请指明三个双箭号哪一个不清楚,也可直接用微信通话讨论。可直接交 ...
原图尺寸 46.99 KB
Nelsh--Deng 发表于 2016-10-8 20:25 谢谢老师。
jiagangw 发表于 2016-10-9 16:31
原图尺寸 44.35 KB
Nelsh--Deng 发表于 2016-10-22 18:19 还请老师多多指点!谢谢老师。
Nelsh--Deng 发表于 2016-10-25 22:05 老师,您好,我想请教老师书上面那个194页到195面的过渡是怎么来的?就是为什么当n》m 的时候,会有195页 ...