全部版块 我的主页
论坛 计量经济学与统计论坛 五区 计量经济学与统计软件 LISREL、AMOS等结构方程模型分析软件
904 3
2016-10-21
删帖~~~~
附件列表
1111.png

原图尺寸 14.28 KB

1111.png

二维码

扫码加我 拉你入群

请注明:姓名-公司-职位

以便审核进群资格,未注明则拒绝

全部回复
2016-10-24 11:40:57
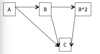
变量之间影响关系的路径分析图应建立在相关理论基础之上,问题中的这种路径图在理论上解释得通么?
二维码

扫码加我 拉你入群

请注明:姓名-公司-职位

以便审核进群资格,未注明则拒绝

2016-10-24 12:24:12
luoaiwu100 发表于 2016-10-24 11:40
变量之间影响关系的路径分析图应建立在相关理论基础之上,问题中的这种路径图在理论上解释得通么?
是这样的,理论上A能直接影响C,也可以通过B间接影响C,但是B对C的影响不是线性的,B和B^2都会影响C,所以不确定这种情况下能不能用路径图,B和B^2的路径图是不是如上图所示?
二维码

扫码加我 拉你入群

请注明:姓名-公司-职位

以便审核进群资格,未注明则拒绝

2016-11-7 13:20:23
Based on my understanding, it should be a "covariance" between B and B-squared !
二维码

扫码加我 拉你入群

请注明:姓名-公司-职位

以便审核进群资格,未注明则拒绝

相关推荐
栏目导航
热门文章
推荐文章

说点什么

分享

扫码加好友,拉您进群
各岗位、行业、专业交流群