经管之家App
让优质教育人人可得
立即打开
全部版块
我的主页
›
论坛
›
计量经济学与统计论坛 五区
›
计量经济学与统计软件
›
Stata专版
Stata对数线性模型画图
楼主
19940925
3536
2
收藏
2016-12-01
悬赏
2
个论坛币
未解决
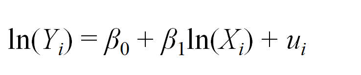
STATA新手,求问如下对数模型,xy的回归图如何实现?命令是?谢谢!
扫码加我 拉你入群
请注明:姓名-公司-职位
以便审核进群资格,未注明则拒绝
全部回复
沙发
19940925
2016-12-1 09:15:44
求回复呀~谢谢
扫码加我 拉你入群
请注明:姓名-公司-职位
以便审核进群资格,未注明则拒绝
藤椅
hewenhaidulang
2021-11-29 20:44:59
请问你会了么,求教
扫码加我 拉你入群
请注明:姓名-公司-职位
以便审核进群资格,未注明则拒绝
相关推荐
STATA中两水平混合随机线性模型的菜单命令是何
[求助]Stata有对数线性模型的处理方法吗?(已解决)
请教stata进行线性模型检验的命令是什么?
用Stata估计出的非线性模型为什么没有标准误?
如何用stata或R软件做GMM非线性模型lnwi=a0+a1ln(∑▒〖Y_it e^(-(β+γBor)]
stata处理非线性模型
stata二段式回归
视频课|单方程线性模型的计量理论与Stata操作
Stata如何做PE检验
非线性模型如何正确处理这4个重要问题 in stata
栏目导航
Stata专版
休闲灌水
经管文库(原现金交易版)
马克思主义经济学
宏观经济学
SAS专版
热门文章
参数估计:CDA数据分析师的核心推断工具,用 ...
通用指标与场景指标:CDA数据分析师的核心分 ...
表格结构数据特征与CDA数据分析师:精准适配 ...
CDA 认证考试大纲 2025 重磅更新:一二级考 ...
在概率与代码之间:Agent Skills 是 AI 的枷 ...
CDA数据分析脱产就业班于2026年3月7日开班! ...
失去的三十年:平成日本经济史(【日】野口 ...
GeoSaaS永久会员版
硅光芯片代工爆发式增长,重构全球半导体产 ...
新宏观丨豆包,谁是传统经济学的最大反对派
推荐文章
2026JG学术冬训营:从Stata初高到Python机器 ...
【必看】【本版版规,欢迎发悬赏贴求助】
【新课】26年3月|Gemini辅助论文写作与数据 ...
关于如何利用文献的若干建议
关于学术研究和论文发表的一些建议
关于科研中如何学习基础知识的一些建议 (一 ...
一个自编的经济学建模小案例 --写给授课本科 ...
AI智能体赋能教学改革: 全国AI教育教学应用 ...
2025中国AIoT产业全景图谱报告-406页
关于文献求助的一些建议
说点什么
分享
微信
QQ空间
QQ
微博
扫码加好友,拉您进群
各岗位、行业、专业交流群