全部版块 我的主页
论坛 计量经济学与统计论坛 五区 计量经济学与统计软件
5501 10
2017-01-20
悬赏 5 个论坛币 未解决
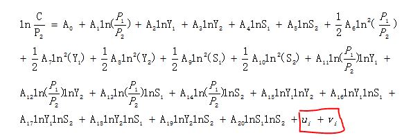
捕获.JPG
用随机前沿分析法,SFA,来测算成本效率,构建超越对数成本函数模型,模型如上所示,求问,u和v是非效率项吗?
在用Frontier4.1的时候,INS文件第一排应该选1还是2?
如果选择2,那么,倒数第二排的,非效率项个数应该怎么填?
如果数据已经经过对数处理了,还需要SHA文件吗?
谢谢好心人!

附上Frontier的代码,我运行多次都没有OUT文件生成,不知是哪里出问题了。

2               1=ERROR COMPONENTS MODEL, 2=TE EFFECTS MODEL
eg3.DTA          DATA FILE NAME
eg3.out          OUTPUT FILE NAME
2               1=PRODUCTION FUNCTION, 2=COST FUNCTION
y               LOGGED DEPENDENT VARIABLE (Y/N)
254             NUMBER OF CROSS-SECTIONS
1               NUMBER OF TIME PERIODS
254             NUMBER OF OBSERVATIONS IN TOTAL
20              NUMBER OF REGRESSOR VARIABLES (Xs)
y               MU (Y/N) [OR DELTA0 (Y/N) IF USING TE EFFECTS MODEL]
2               ETA (Y/N) [OR NUMBER OF TE EFFECTS REGRESSORS (Zs)]
n               STARTING VALUES (Y/N)
                IF YES THEN     BETA0              
                                BETA1 TO
                                BETAK            
                                SIGMA SQUARED
                                GAMMA
                                MU              [OR DELTA0
                                ETA                 DELTA1 TO


                                NOTE: IF YOU ARE SUPPLYING STARTING VALUES
                                AND YOU HAVE RESTRICTED MU [OR DELTA0] TO BE
                                ZERO THEN YOU SHOULD NOT SUPPLY A STARTING
                                VALUE FOR THIS PARAMETER.
二维码

扫码加我 拉你入群

请注明:姓名-公司-职位

以便审核进群资格,未注明则拒绝

全部回复
2017-3-10 11:31:22
我也遇见了和楼主一样的情况,楼主问题解决了吗?可以加qq1295202619  讨论下
二维码

扫码加我 拉你入群

请注明:姓名-公司-职位

以便审核进群资格,未注明则拒绝

2017-4-24 21:11:49
明白了。
二维码

扫码加我 拉你入群

请注明:姓名-公司-职位

以便审核进群资格,未注明则拒绝

2017-5-25 00:29:50
hildegardvon 发表于 2017-4-24 21:11
明白了。
可以加我QQ吗?我想请教你,530636505
二维码

扫码加我 拉你入群

请注明:姓名-公司-职位

以便审核进群资格,未注明则拒绝

2018-7-25 19:45:12
hildegardvon 发表于 2017-4-24 21:11
明白了。
可以加我QQ么。我也有个问题想请教你
二维码

扫码加我 拉你入群

请注明:姓名-公司-职位

以便审核进群资格,未注明则拒绝

2018-7-25 19:45:28
hildegardvon 发表于 2017-4-24 21:11
明白了。
我QQ是729297419
二维码

扫码加我 拉你入群

请注明:姓名-公司-职位

以便审核进群资格,未注明则拒绝

点击查看更多内容…
相关推荐
栏目导航
热门文章
推荐文章

说点什么

分享

扫码加好友,拉您进群
各岗位、行业、专业交流群