经管之家App
让优质教育人人可得
立即打开
全部版块
我的主页
›
论坛
›
数据科学与人工智能
›
数据分析与数据科学
›
Excel
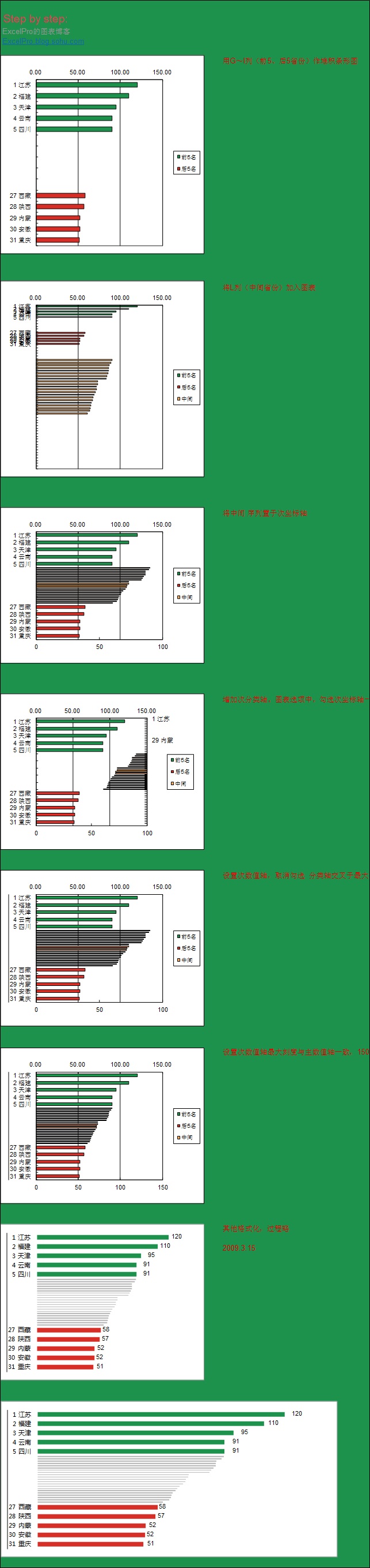
[求助]excel图表之道-手风琴式折叠图制作
楼主
erhulong
2422
4
收藏
2017-01-26
请问第四至第六步在excel2010中的实现方式。
扫码加我 拉你入群
请注明:姓名-公司-职位
以便审核进群资格,未注明则拒绝
全部回复
沙发
caihaiyu
2017-1-29 11:14:35
第四部就是选中你要放在次坐标轴的序列,右键设置序列格式,弹出的窗口有可以勾选的次坐标轴
扫码加我 拉你入群
请注明:姓名-公司-职位
以便审核进群资格,未注明则拒绝
藤椅
車樹森
2017-2-4 09:27:15
建议有空还是更新到2013版本,更加好用便捷,也可以更新到2016版。
扫码加我 拉你入群
请注明:姓名-公司-职位
以便审核进群资格,未注明则拒绝
板凳
車樹森
2017-2-4 09:28:35
excel图表之道 是针对2003版的教程,操作上很多不合适在新版本中
扫码加我 拉你入群
请注明:姓名-公司-职位
以便审核进群资格,未注明则拒绝
报纸
caihaiyu
2017-2-7 21:32:29
公司只能装2010,怎么破~~电脑不给自己装软件,哭死了。2016我都用习惯了,突然换成10好不习惯
扫码加我 拉你入群
请注明:姓名-公司-职位
以便审核进群资格,未注明则拒绝
相关推荐
On the Robustness of Unit Root Tests in the Presence of Double Unit Roots
论坛开张并诚招版主
庆祝论坛开张并诚招版主
有志于报考人大经济学院的同学朋友们看过来
庆祝论坛开张并诚招各分论坛版主
On the Robustness of Unit Root Tests in the Presence of Double Unit Roots
双单位根存在情况下单位根检验的稳健性研究
Local Power Functions of Tests for Double Unit Roots
栏目导航
Excel
学习笔记1.0
经管在职研
产业经济学
CFA、CVA、FRM等金融考证论坛
爱问频道
热门文章
初等数学论丛 第3辑
2026六大未来产业发展趋势与人工智能八大落 ...
A Course in Real Analysis (Textbooks in ...
财报掘金
高观点下的初等数学概念+沈钢编著,2001
2025中国城市地下空间发展蓝皮书
当AI遇见ML:高校教师如何借助AI与机器学习 ...
CDA 认证考试大纲 2025 重磅更新:一二级考 ...
AI Core产业营销思考
CDA数据分析师实战:指标体系搭建的全流程方 ...
推荐文章
12月武汉站|Deepseek辅助论文写作与数据分 ...
2026JG学术冬训营:从Stata初高到Python机器 ...
关于如何利用文献的若干建议
关于学术研究和论文发表的一些建议
关于科研中如何学习基础知识的一些建议 (一 ...
一个自编的经济学建模小案例 --写给授课本科 ...
AI智能体赋能教学改革: 全国AI教育教学应用 ...
2025中国AIoT产业全景图谱报告-406页
关于文献求助的一些建议
几种免费下载文献的方法----我的文献应助经
说点什么
分享
微信
QQ空间
QQ
微博
扫码加好友,拉您进群
各岗位、行业、专业交流群