经管之家App
让优质教育人人可得
立即打开
全部版块
我的主页
›
论坛
›
计量经济学与统计论坛 五区
›
计量经济学与统计软件
garch(1,1)的残差平方项如何得到?
楼主
fanscsa
1491
0
收藏
2017-02-28
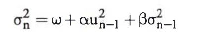
等式右边第二项是前一期残差的平方。假设我用GARCH模型来预测某个股票的波动,那我要怎么得到这个残差平方呢?查了好久资料还是不太明白,求助~
还有个问题。这个模型是先用残差和方差的历史数据回归得到alpha和beta, 然后再用方程预测未来数据吗?那比如我要预测每日的波动就要先去找历史的每日波动数据。那历史方差怎么计算得到,比如求某股票2010-2015每天的回报方差,那2010-1-1的这天的方差要怎么算,是用2010-1-1之前一年的数据算还是一个月的?
扫码加我 拉你入群
请注明:姓名-公司-职位
以便审核进群资格,未注明则拒绝
相关推荐
On the Robustness of Unit Root Tests in the Presence of Double Unit Roots
论坛开张并诚招版主
庆祝论坛开张并诚招版主
有志于报考人大经济学院的同学朋友们看过来
庆祝论坛开张并诚招各分论坛版主
On the Robustness of Unit Root Tests in the Presence of Double Unit Roots
双单位根存在情况下单位根检验的稳健性研究
Local Power Functions of Tests for Double Unit Roots
周小川:调利率还需观察 息口盯住5%通胀率
栏目导航
计量经济学与统计软件
休闲灌水
教师之家与经管教育
金融学(理论版)
经管高考
经管文库(原现金交易版)
热门文章
当AI遇见ML:高校教师如何借助AI与机器学习 ...
CDA 认证考试大纲 2025 重磅更新:一二级考 ...
乡村振兴相关数据
2026年宏观经济十大趋势展望
管理者微观经济学 Microeconomics for Mana ...
2025手持智能影像设备需求洞察
【24重磅,优化版本!】2003-2024上市公司股票 ...
【顶刊DID,24重磅!】2001-2024上市公司营改 ...
《数据要素发展报告(2025年)》---来源:中 ...
CDA数据分析师:全流程拆解数据治理开展路径 ...
推荐文章
12月武汉站|Deepseek辅助论文写作与数据分 ...
2026JG学术冬训营:从Stata初高到Python机器 ...
关于如何利用文献的若干建议
关于学术研究和论文发表的一些建议
关于科研中如何学习基础知识的一些建议 (一 ...
一个自编的经济学建模小案例 --写给授课本科 ...
AI智能体赋能教学改革: 全国AI教育教学应用 ...
2025中国AIoT产业全景图谱报告-406页
关于文献求助的一些建议
几种免费下载文献的方法----我的文献应助经
说点什么
分享
微信
QQ空间
QQ
微博
扫码加好友,拉您进群
各岗位、行业、专业交流群