经管之家App
让优质教育人人可得
立即打开
全部版块
我的主页
›
论坛
›
数据科学与人工智能
›
数据分析与数据科学
›
MATLAB等数学软件专版
请问这个什么DEA模型?类似SAM模型与方向距离函数的结合版。
楼主
kerryla
1538
1
收藏
2017-04-26
悬赏
30
个论坛币
未解决
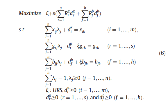
(6)是DEA模型,(7)是相应的对偶模型。请问下这是个什么DEA模型?我应该用什么软件来求解这种模型??这是Toshiyuki Sueyoshi 论文中使用到的模型。请大家帮我看看。
扫码加我 拉你入群
请注明:姓名-公司-职位
以便审核进群资格,未注明则拒绝
全部回复
沙发
PX0706
2017-4-29 15:27:40
MATLAB自己编程算吧,据我所知没有软件可以做
扫码加我 拉你入群
请注明:姓名-公司-职位
以便审核进群资格,未注明则拒绝
相关推荐
On the Robustness of Unit Root Tests in the Presence of Double Unit Roots
论坛开张并诚招版主
庆祝论坛开张并诚招版主
有志于报考人大经济学院的同学朋友们看过来
庆祝论坛开张并诚招各分论坛版主
On the Robustness of Unit Root Tests in the Presence of Double Unit Roots
双单位根存在情况下单位根检验的稳健性研究
Local Power Functions of Tests for Double Unit Roots
栏目导航
MATLAB等数学软件专版
学道会
制度经济学
stata专版
行业分析报告
经管文库
热门文章
OpenClaw+Claude Code丨从"手动科研"到 ...
从数据源头到商业洞察:CDA数据分析师视角下 ...
Token经济学全景报告
2025供应链依赖的选择与挑战报告
好书分享-《图灵传:时代的拓荒者》
【重磅,24更新!】2012-2025我国社会融资规 ...
英媒:日产与奇瑞洽谈英工厂代产 以提升产能 ...
丰田1页A3纸的整理与沟通技巧 by 浅田卓
OpenClaw vs Hermes:一文深入理解两大通用 ...
CDA数据分析脱产就业班在2026年3月7日开班了 ...
推荐文章
五一充电,学术突围!四大AI赋能王牌课程, ...
关于学术研究和论文发表的一些建议
几种免费下载文献的方法----我的文献应助经
【必看】【本版版规,欢迎发悬赏贴求助】
【新课】26年3月|Gemini辅助论文写作与数据 ...
关于如何利用文献的若干建议
关于科研中如何学习基础知识的一些建议 (一 ...
一个自编的经济学建模小案例 --写给授课本科 ...
AI智能体赋能教学改革: 全国AI教育教学应用 ...
2025中国AIoT产业全景图谱报告-406页
说点什么
分享
微信
QQ空间
QQ
微博
扫码加好友,拉您进群
各岗位、行业、专业交流群