全部版块 我的主页
论坛 金融投资论坛 六区 金融实务版 投行专版
703 0
2017-05-18
  痴松论金5.18:黄金日线大阳,原油三足鼎立!

  投资者寄语:

  马行软地易失蹄,人贪安逸易失志。枪械无罪,有罪的是扣动扳机的人,行情没错,有错的是看行方向的人。

  每一个人都可以站在阴阳线上,分享这个市场的利润,并感受来自时间的考验。鞋底磨穿了,不等于路走到了头,时间都看盘了,不等于钱就自然来了。 没有斗狼的胆量,就不要牧羊。

  昨日喊单回顾:

  黄金属于极强。在极强行情中,交易更应该果敢点。就像昨天无数人放空。痴松坚定地执行1243抄底,1242抄底,1244追多,1253追多,1256回调多在1260获利平仓。随后回调1255做多又是盈利,刚才的1258.8和1258多单又是盈利。接连多单盈利不仅是胆魄更是对行情的精准把握。

  黄金行情分析:

  特朗普果真是黄金市场的一门好火炮,从此前的炮击叙利亚到涉朝问题,再到强调强势美元不利于美国经济发展,再到轰炸阿富汗。好牌是一张接着一张。这不,又玩了一把,只不过这次起到的是坏牌。特朗普泄密门是昨日黄金暴涨的根本原因。市场担忧其税改案,医改案可能落空,并进一步担忧其可能遭受弹劾,黄金避险情绪大增,暴涨。

  6月加息概率仍在,可已经降低。现在投资者关注的焦点是特朗普泄密门是否持续发酵,对6月加息似乎不是特别关注但预期随着6月到来,加息事件可能再度升温投资者月底重点关注。

  美元指数已经创6月新低,并跌破特朗普总统上任以来低点,弱势持续中期看跌将不断推升金价走高,昨日标准普尔,纳斯达克指数暴跌也推动着黄金走高。
QQ图片20170518101625.png
  技术上是黄金接连突破1小时1225.5,1237和1245三道高点所致,突破1225.5是确认升势,突破1237是进一步确认升势,突破1245则是加速上升了。

  今明两天市场并无重要数据,市场依然期待的是特朗普泄密门事件的进一步发展,预期其依然会继续主导市场,请投资者多注意。

  今天重要低点是1255,守住1255低点,请投资者持有早盘1258-59多单,空仓的朋友可现价1259继续多,目标:1265-1268

  未破1255和1252低点前,不考虑空。

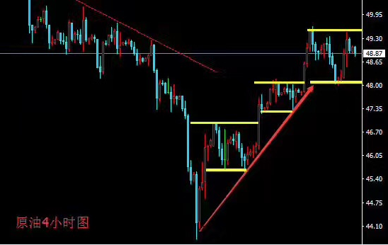
  原油行情分析:

  原油相对反弹放缓了,上周延续43.8-49.7的反弹一蹴而就,中途只经历了几个横盘修正之后就继续拉高了。但是本周原油强势明显放缓,周一冲高回落收阳,周二反复测试不破49.4之后隔夜回落48.1附近。周三直接企稳反转,晚间EIA数据利空也未改弱势,继续收阳,日线短线呈现了阴阳交替。

  那么短线原油我们看下日线级别的整理,注意49.4-49.6的压力,下方看下48.5-48.3的支撑,等操作机会。

  痴松语录:

  学习一点“空杯”

  每一次的交易都是相互独立的,我们要做的是下次交易的成功,而不是将交易停留在过去的成功上而沾沾自喜。所以,在平台上做投资交易的人们,更需要具有空杯心态。

  学习一点"自嘲"

  不要对自己太苛刻,你不用像其他人证明任何事,不妨成为第一个嘲笑自己错误的人,不要试图追求完美无缺,杰出表现就已经够好了。

  学习一点“别犹豫”

  投资者在投资中因为徘徊不定、犹豫不决而导致投资失败的“布里丹效应”是由于多种矛盾心理造成的。对于这些容易诱发犹豫心理的矛盾,投资者需要注意克服。首先,要养成独立思考和严格执行操作纪律的习惯,严格执行操作环节中的风险控制方案。

  如果你还没有最新的行情分析?没有投资相关经验和操盘技巧?没有喊单提醒?没有重要经济数据和事件的提醒?如果你还在因为没有这些而导致:操作连连亏损,信心丧失,资产缩水等,你可以给我一份信任和支持。一个成功男人的背后有一个伟大的女人,一个成功投资者的背后绝对也有一个设身为你着想的分析师!跟对一单只能赚一单,跟对一人就能获利一生。我不怕千万人阻挡,只怕自己投降,我不认输,我就是痴松论金!一路相随,共赢天下!

附件列表
QQ图片20170518101649.png

原图尺寸 132.8 KB

QQ图片20170518101649.png

二维码

扫码加我 拉你入群

请注明:姓名-公司-职位

以便审核进群资格,未注明则拒绝

栏目导航
热门文章
推荐文章

说点什么

分享

扫码加好友,拉您进群
各岗位、行业、专业交流群