全部版块 我的主页
论坛 数据科学与人工智能 数据分析与数据科学 SAS专版
2596 2
2017-06-20
悬赏 35 个论坛币 已解决
好吧,我觉得我要被折磨死了.....想了老半天弄不出来。
然后数据如下,我已经把T-stats求出来,然后求根据求出来的t 来求各variable的p value.........

2.JPG

有58个公园
全部variable如下:
Park, _RMSE_, _EDF_, _RSQ_, t_intercept, t_trend, t_d1, t_d2, t_d3, t_d4, t_d5, t_d6, t_d7, t_d8, t_d9, t_d10, t_d11, t_lag, t_UR, t_GasRate, t_CCI。

然后我要算出相对应的P的值,网上找了一个公式但是不知道怎么用,一脸懵....
3.JPG

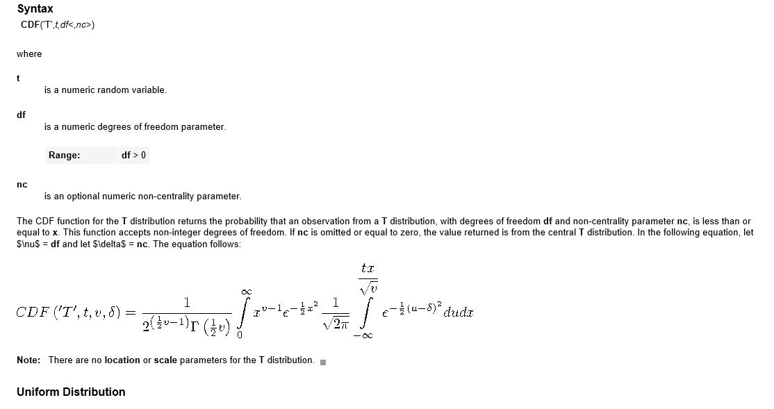
啊,看了我们老师的笔记,他写了
p value=cdf+dist(不知道是tdist 还是+dist, 汗)然后空开一点(t,df) 我知道df是degree of freedom....然后也找了相关资料
1.JPG

但是我不晓得怎么用.....哎呦.....不好意思求各位大神指导...我真的一点想不出了....

在此谢谢了。

最佳答案

Wavegu 查看完整内容

data t; set yourdata; /*yourdata is your data*/ p = 2*(1-probt(t,df)); /*t is the t value and df is degree of freedom, which is 282 in your data*/ run;
二维码

扫码加我 拉你入群

请注明:姓名-公司-职位

以便审核进群资格,未注明则拒绝

全部回复
2017-6-20 11:13:42
data t;
set yourdata; /*yourdata is your data*/
p = 2*(1-probt(t,df)); /*t is the t value and df is degree of freedom, which is 282 in your data*/
run;
二维码

扫码加我 拉你入群

请注明:姓名-公司-职位

以便审核进群资格,未注明则拒绝

2017-6-22 11:15:53
Wavegu 发表于 2017-6-22 08:58
data t;
set yourdata; /*yourdata is your data*/
p = 2*(1-probt(t,df)); /*t is the t value and df ...
非常感谢,我自己已经做出来了,谢谢!!!
二维码

扫码加我 拉你入群

请注明:姓名-公司-职位

以便审核进群资格,未注明则拒绝

相关推荐
栏目导航
热门文章
推荐文章

说点什么

分享

扫码加好友,拉您进群
各岗位、行业、专业交流群