经管之家App
让优质教育人人可得
立即打开
全部版块
我的主页
›
论坛
›
提问 悬赏 求职 新闻 读书 功能一区
›
悬赏大厅
关于ISM模型层级确定以后,箭线确定的方法求解
楼主
longwujiang
2056
1
收藏
2017-07-04
悬赏
5
个论坛币
未解决
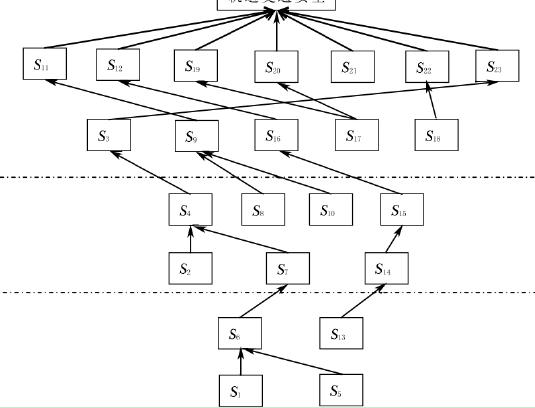
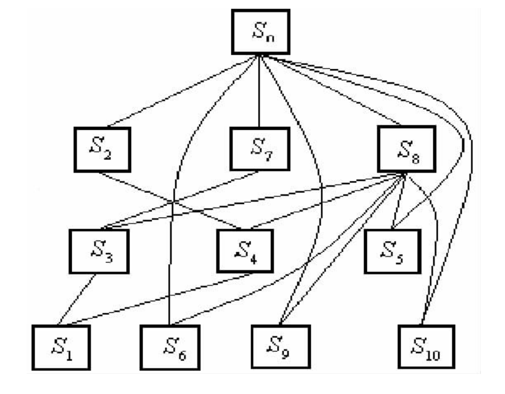
如上两图所示,在用可达矩阵确定了层级之后,会把因素之间的关系用箭线表示,我之前认为的方法是:根据该因素的先行集合,如果比他级别低的层级中有集合中的因素,则他俩之间有箭线。但是通过看别人的文章发现不完全是这个规则,有一些越级的箭线就不适用这个规则 请问:该怎么做因素之间的箭线?
扫码加我 拉你入群
请注明:姓名-公司-职位
以便审核进群资格,未注明则拒绝
全部回复
沙发
mumutang
2017-9-1 19:22:06
我也想学一下这个模型的,请问一下你使用那个软件做的?
扫码加我 拉你入群
请注明:姓名-公司-职位
以便审核进群资格,未注明则拒绝
相关推荐
Utilitarianism
用ism模型做一个实践
30币求ISM文献一篇
疲软ISM制造业意外推高金价 非农前走势仍将震荡
章子鑫:9.1晚聚焦ISM“前瞻非农行情”原油290大胆多(晚评)
章子鑫:9.1晚聚焦ISM“前瞻非农行情”原油290大胆多(晚评)
张军吉:美国ISM制造业受期待,现货美指横盘整理运行
ISM模型的实现
关于ISM模型层级确定以后,箭线确定的方法求解
11月海外宏观动态点评:美国10月ISM制造业指数创半年新低,非农远超预期
栏目导航
悬赏大厅
经管文库(原现金交易版)
金融学(理论版)
学道会
马克思主义经济学
Stata专版
热门文章
表格结构数据特征与CDA数据分析师:精准适配 ...
CDA 认证考试大纲 2025 重磅更新:一二级考 ...
新宏观丨豆包,谁是传统经济学的最大反对派
硅光芯片代工爆发式增长,重构全球半导体产 ...
数论I : Fermat的梦想和类域论
新发展经济学(三):精神与物质
普华永道 - 中国影响力报告2025
【应用统计学资料】98份应用统计学资料合集
表格结构数据的核心特征及具象实例解析
2026中信里昂风水指数
推荐文章
2026JG学术冬训营:从Stata初高到Python机器 ...
【必看】【本版版规,欢迎发悬赏贴求助】
26年寒假天津站|Gemini论文写作&数据分析 ...
关于如何利用文献的若干建议
关于学术研究和论文发表的一些建议
关于科研中如何学习基础知识的一些建议 (一 ...
一个自编的经济学建模小案例 --写给授课本科 ...
AI智能体赋能教学改革: 全国AI教育教学应用 ...
2025中国AIoT产业全景图谱报告-406页
关于文献求助的一些建议
说点什么
分享
微信
QQ空间
QQ
微博
扫码加好友,拉您进群
各岗位、行业、专业交流群