金融理论中的选择停留假说如何理解_选择停留假说
什么是选择停留假说
选择停留假说是对预期假说和市场分割假说的进一步发展。按照预期假说的解释,收益率曲线通常向上倾斜意味着短期利率在未来预计会上升,而实际上短期利率既有可能上升也有可能下降。这样,短期利率变动的市场预期就与其实际变动不一致。因此,预期假说不能很好地解释收益率曲线通常向上倾斜的事实。市场分离假说由于把不同期限债券的市场看成是完全独立的,一种期限债券利率的变动并不影响另一种期限债券的利率。因此,该假说也不能解释不同期限债券的利率往往是共同变动的这一经验事实。选择停留假说是对预期假说和市场分离假说的进一步完善。
选择停留假说的前提假定
选择停留假说的基本命题是:长期债券的利率水平等于在整个期限内预计出现的所有短期利率的平均数,再加上由债券供给与需求决定的时间溢价(Termpremmm)。该假说中隐含着这样几个前提假定:
(1)期限不同的债券之间是互相替代的,一种债券的预期收益率确实会影响其他不同期限债券的利率水平。
(2)投资者对不同期限的债券具有不同的偏好。如果某个投资者对某种期限的债券具有特殊偏好,那么,该投资者可能更愿意停留在该债券的市场上,表明他对这种债券具有选择停留(preferredhabitat)。
(3)投资者的决策依据是债券的预期收益率,而不是他偏好的某种债券的期限。
(4)不同期限债券的预期收益率不会相差太多。因此在大多数情况下,投资人存在喜短厌长的倾向。
(5)投资人只有能获得一个正的时间溢价,才愿意转而特有长期债券。
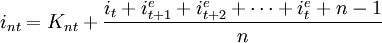
(6)选择停留假说的基本命题是,长期利率int等于在该期限内预计出现的所有短期利率的平均数

,再加上一个正的时间溢价Knt(Knt> 0,表示期债n券在第t期时的时间溢价)。长短期利率之间的关系可以用下列公式来描述: