全部版块 我的主页
论坛 数据科学与人工智能 数据分析与数据科学 R语言论坛
1567 0
2017-07-11
悬赏 10 个论坛币 未解决
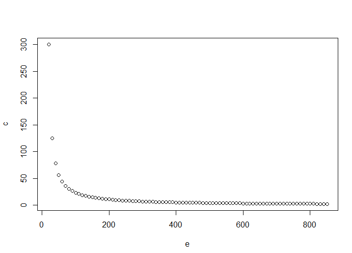
想做成的图和计算的R值 自己数据的e和c的关系图
想做的图                                                           自己已经实现的e和c的关系图
                 
数据如下:请问各位R语言前辈,如何在R里实现这两个向量的幂律分布图?并计算相关系数R和幂指数?
> e [1]  20  30  40  50  60  70  80  90 100 110 120 130 140 150 160 170 180 190 200 210
    [21] 220 230 240 250 260 270 280 290 300 310 320 330 340 350 360 370 380 390 400 410
    [41] 420 430 440 450 460 470 480 490 500 510 520 530 540 550 560 570 580 590 600 610
   [61] 620 630 640 650 660 670 680 690 700 710 720 730 740 750 760 770 780 790 800 810
   [81] 820 830 840 850
> c [1] 300.003826 125.003587  77.781746  56.254484  44.005051  36.116754  30.618493
     [8]  26.569362  23.464272  21.008105  19.016996  17.370471  15.986322  14.806541
     [15]  13.789033  12.902514  12.123251  11.432913  10.817120  10.264433   9.765637
     [22]   9.313229   8.901035   8.523931   8.177626   7.858503   7.563488   7.289956
     [29]   7.035647   6.798609   6.577145   6.369773   6.175194   5.992263   5.819968
     [36]   5.657411   5.503792   5.358396   5.220584   5.089780   4.965465   4.847170
     [43]   4.734471   4.626982   4.524352   4.426260   4.332415   4.242548   4.156413
     [50]   4.073784   3.994454   3.918229   3.844933   3.774402   3.706482   3.641035
      [57]   3.577927   3.517038   3.458253   3.401467   3.346580   3.293500   3.242140
      [64]   3.192420   3.144262   3.097596   3.052353   3.008472   2.965892   2.924557
      [71]   2.884415   2.845415   2.807510   2.770656   2.734810   2.699932   2.665985
      [78]   2.632932   2.600739   2.569375   2.538807   2.509007   2.479947   2.451601

二维码

扫码加我 拉你入群

请注明:姓名-公司-职位

以便审核进群资格,未注明则拒绝

栏目导航
热门文章
推荐文章

说点什么

分享

扫码加好友,拉您进群
各岗位、行业、专业交流群