全部版块 我的主页
论坛 新商科论坛 四区(原工商管理论坛) 商学院 系统动力学
2300 3
2017-08-07
新得到的英文教程,供大家参看。
附件列表

系统动力学全面教程(补发3份英文教程).zip

大小:2.49 MB

 马上下载

补发新得的三份英文教程

二维码

扫码加我 拉你入群

请注明:姓名-公司-职位

以便审核进群资格,未注明则拒绝

全部回复
2017-8-7 23:45:48
不好意思,刚发现有一份跟之前上传的重复,另外两份其中一份有对应的Vensim模型。
二维码

扫码加我 拉你入群

请注明:姓名-公司-职位

以便审核进群资格,未注明则拒绝

2017-8-8 11:28:35
园园豆啊 发表于 2017-8-7 23:45
不好意思,刚发现有一份跟之前上传的重复,另外两份其中一份有对应的Vensim模型。
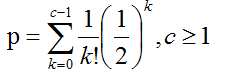
求助这个公式在Vensim中如何编辑?望知道的大神能回复下,可以私信,可以给报酬,万分感谢!
附件列表
二维码

扫码加我 拉你入群

请注明:姓名-公司-职位

以便审核进群资格,未注明则拒绝

2018-6-10 08:46:39
请问具体的资料清单有吗?
二维码

扫码加我 拉你入群

请注明:姓名-公司-职位

以便审核进群资格,未注明则拒绝

相关推荐
栏目导航
热门文章
推荐文章

说点什么

分享

扫码加好友,拉您进群
各岗位、行业、专业交流群