全部版块 我的主页
论坛 经济学论坛 三区 微观经济学
1608 1
2017-08-09
第四章 经济学目的与概论4.1 经济学的目的

经济学的目的是财富最大化。经济学的本质是广义动量的交换。经济学的核心力量是知识。经济学通过优化手段来达到财富最大化的目的。

4.2 经济学概论

经济学的根本目是进化,即促进人类的发展和社会的进步,具体目标是实现人民物质财富最大化。经济学为实现财富最大化提供理论基础,实现物质财富最大化有5种手段,分别为学习,竞争,创新,合作与交易,它们都符合广义动量定理。创新的经济发展的根本动力,没有创新,经济会停止发展,人类会停止进步。使用系统思考来分析各种因素的交互影响。

                              


4-1.jpg

4-1《可以量化的经济学》主要内容

在经济学理论中,以广义动量定理Fαt=MV和系统思考来分析主要的经济学理论,经济学的目的是财富最大化,其本质是广义动量MV的交换。书中将主要的经济学理论进行了归类分析(如图4-1所示)。

作者根据各经济理论强调的重点,通过广义动量定理与系统思考将经济学理论进行了分类和分析。

1)基础派,经济学的基础理论是需求定律和广义经济学,而这两个理论的本质是广义动量定理和系统思考。需求定律公式为Q=K(B-P),其中Q为购买量,B为消费者利益,P为价格,K为消费者盈余转化率。消费者利益上升,购买量上升;价格下降,购买量上升;消费者盈余上升,购买量上升。需求弹性为需求定律的数学推论。书中对传统需求定律的三个反例奢侈品,吉芬物品和投机品进行了解答。书中给出了需求定律的四条准则:价值决定价格基准;竞争决定价格波动幅度;消费者盈余决定购买量;价格决定最低消费者层次。供给定律公式为QS=KS(P-C),其中QS为供给量,P为价格,C为成本,KS为生产者盈余转化率。供给弹性为供给定律的数学推论。需求定律和供给定律的本质均是广义动量定理,而供需均衡为系统思考的两个负反馈的合成结果。广义经济学是对经济学的扩展,它通过利益-成本来分析所有问题,其本质为广义动量定理,利益为动力,成本为阻力,利益-成本的差为合外力F,合外力产生成果。

在价值相对论,提出商品的相对价值由商品的稀缺性决定,所以商品的相对价值为总需求与总供给的比值D/Q,总需求越高,商品相对价值越大;总供给越高,商品相对价值越小。结合需求定律公式得到价值相对论的公式为Q=K(D/Q-P),推导得到总需求量公式为

公式1.jpg

总需求量Q由总需求D,盈余转化率K和价格P共同决定。

2)力量F,以力量的属性与分类,劳动价值论,产权理论和力量F与分配理论为代表。在力量的属性与分类中,论述了人类的终极力量有暴力、财富和知识三种,经济学的核心力量是知识。

在劳动价值论中,分析了亚当•斯密,大卫•李嘉图和卡尔•马克思的劳动价值理论,劳动价值论的本质是广义动量定理Fαt=nmV,即劳动力F,在方向α上,作用于某一作用点,经过时间t,产生n个质量为m的产品,产出速度为V。

凡勃仑的《有闲阶级论》开创了产权理论研究的先河,产权包括暴力产权,财富产权和知识产权。科斯定理是科斯提出的一种观点,比较流行的说法是:只要财产权是明确的,并且交易成本为零或者很小,那么,无论在开始时将财产权赋予谁,市场均衡的最终结果都是有效率的,实现资源配置的帕雷托最优。科斯定理的本质是财富和暴力两种力量的相互转化,通过经济手段代替暴力手段,达到社会效益的最大化。在均衡的情况下,如果交易费用为零,则阻力为零,产权配置相当于此系统的合外力,而合外力赋予均衡中的任一方,这个系统的合外力不变,产生成果不变。本文将通过分析牛吃麦子的案例对科斯定理进行详尽的分析。科斯创造性的提出了交易费用,交易费用是一种广义的摩擦力。当交易费用为零,不管产权如何配置,都会达到帕累托最优;当交易费用固定,有可能达到帕累托最优;交易费用不固定,不能达到帕累托最优。不同产权配置会带来不同的资源配置,越小的交易费用越接近资源的最优配置。为了达到社会财富最大化,产权的制度应该是向最小交易费用的方向倾斜,即向竞争最激烈的方向配置产权。

在分配理论中,文中论述了收入的各种方式。

3)方向α,以亚当•斯密的专业化,杨小凯的超边际分析,资源分配理论和博弈论为代表。亚当•斯密在《国富论》中提出了专业化,即将力量用在一个方向α上,可以增加产出。斯密分析了分工理论提高效率的原因:第一,分工专业化是劳动者的劳动技巧或熟练程度日益增进。第二,分工可以减少由一种工作换到另一种工作损失的时间。第三,分工使劳动简单化、专门化,从而为机械的发明和使用创造了条件。从广义动量定理Fαt=MV的角度来分析斯密所说的原因:1.劳动技巧,熟练程度的提高和机械的发明都是增加了力量F;2.减少转换时间的损失就是增加了有效工作时间t;3.劳动简单化和专门化就是力量的作用点明确,力量的方向α偏差减少,使方向α增加,增加了力量的准确度并减少力量转变的损失。所以增加了力量F,时间t和方向α和明确了作用点,成果MV会增加。

杨小凯的超边际分析将亚当•斯密的专业化与交易费用进行了数学化。专业化α是一个比较概念,α也是具备层级结构的。专业化需要根据参照标准或者说参照系来确定。杨小凯所说的专业化就是选择将力量完全用于一个职业方向上,而在其他职业方向上使用的力量都是零。如果将广义动量定理Fαt=MV来解释,专业化就是选择在一个职业方向上α为1,其他职业方向上α都为0,这是与杨小凯所说的超边际分析类同的。

在资源配置和博弈论上,选择不同的配置方法α,会产生不同的成果。文中分析了博弈论经典案例囚徒困境和共享经济中核心算法延迟接受算法的关系,给出了囚徒困境的数学函数和三维图形,指出了在自利,克己和利他各种环境下,博弈双方不同的稳定配对(如图4-2所示)。博弈论是共享经济配对理论的反应用。指出博弈论是不存在“边际”的。

4-2.jpg

4-2博弈论囚徒困境分析图形

4)作用点,以李嘉图的比较优势为代表。亚当•斯密提出绝对优势理论,各国集中力量生产有绝对优势的产品,然后进行贸易可以增加产出。大卫•李嘉图提出了比较优势理论,处于比较优势的国家,应集中力量生产优势较大的商品,处于比较劣势的国家,应集中力量生产劣势较小的商品然后进行贸易,也可以增加总产出。比较优势理论是国际贸易的基础理论。文中给出了绝对优势与比较优势的数学函数,并且指出亚当•斯密的绝对优势和李嘉图的比较优势是函数在特定初始状态下的一个特解。

当有n国生产2种产品时,可以写出如下的带约束的函数,

    公式2.jpg

  

其中Fi1和Fi2分别为i国生产1单位产品1和1单位的产品2所需劳动量,xi为i国用于生产1产品的劳动量。亚当•斯密的绝对优势和李嘉图的比较优势均可以通过上述函数数学化,当涉及多种产品的生产时,可以将以上函数进行相应扩展(如表4-1和图4-3所示)。

表4-1.jpg

4-1李嘉图比较优势的反例

4-3.jpg

4-3李嘉图比较优势的反例

5)时间t,以马克思基于时间分析的劳动价值论,贝克尔的时间分配理论和时机经济学为代表。马克思的劳动价值论是基于时间分析的。文中分析了贝克尔的时间分配理论,并且对其函数进行了简化。

在时机上,分析了田忌赛马的例子,指出时机不同产生的成果不同。

6)数量n,以经济学的产出最大化理论为代表。文中给出了替代品的数学函数,并且分析了价格变化对替代品需求数量的影响。在消费和消费预算达到均衡的情况下,当某种产品的价格上涨时,为了保持固定预算可以维持的天数,金钱消耗速度慢的商品的购买量会增加,金钱消耗速度快的商品的购买量会减少,以此弥补价格上涨引起的可维持天数的减少。

替代品的函数如下

公式3.jpg

其中,产品A和产品B为互相可以替代的产品,产品A的价格为PA,产品B的价格为PB,时间t天的消费预算为E。如果只消费A产品,每天需要消耗数量为a;如果只消费B产品,每天需要消耗数量为b。购买A产品的数量为x。

7)质量m,以消费者利益与质量为代表。文中论述了水和钻石价值悖论,以马斯洛的需求层次理论来解释钻石的价值。钻石的价值不是满足人类的生存需求,而是满足人类的爱和归属,尊重等需求。而钻石的供应量少,所以导致钻石的价格高。当人类社会出现了不同层次人类需求的时候,钻石才会有价值。钻石对于穷人来说是具有间接的价值,钻石本身不能满足他们的生存需求,不能被当做食品来维持生存。但是由于有不同层次需求的人存在,钻石可以用来交换钱财,然后穷人可以用钱财来购买食物。

8)速度V,以速度V与效率为代表。效率与稀缺是经济学研究的核心问题。稀缺产生了交换价值,而效率的作用就是增加产出,减少稀缺。效率有两个含义:一是单位时间完成的工作量。单位时间完成的工作量就是产出速度,即广义动量定理Fαt=MV中的广义速度V。提高广义速度V,可以提高成果。二是指最有效地使用社会资源以满足人类的愿望和需要。资源的配置上限是帕累托最优。文中在多处使用了帕累托最优作为函数的约束。

9)均衡:在系统思考中,马歇尔通过均衡论将负反馈理论引入经济学。在价格均衡论中,文中给出了简单和复杂两个版本的供需均衡图形,指出了供需均衡是需求负反馈和供给负反馈两个负反馈作用的合成结果,并且给出了供需均衡的系统思考分析框图(如图4-4所示)。

4-4.jpg

4-4马歇尔均衡价格论的系统思考图

10)非均衡:索罗斯通过反身理论将正反馈引入经济学。在现实中,股票价格上升,购买量也上升,需求定律无法解释,并且供需曲线也并没有如均衡价格曲线那样达到一个均衡点,而是处在非均衡的状态。金融家索罗斯通过反身定理和自己的金融经历对经济学的均衡模型提出了挑战。在控制理论上有2种模型,负反馈模型和正反馈模型。马歇尔的均衡价格论是负反馈模型,负反馈是趋于稳定的;而索罗斯的反身理论是正反馈模型,正反馈是趋向于加强,非稳定状态的。负反馈与正反馈一同构成完整的经济学模型。文中引用了索罗斯在《金融炼金术》中关于反身理论的论述,文中给出了反身理论的正反馈模型(如图4-5所示)。

4-5.jpg

4-5索罗斯反身理论的系统思考图

在系统分析中,分别分析了经济学金字塔,交易方程式,凯恩斯主义和弗里德曼,拉弗曲线,理性预期学派,有效需求,市场与广义动量定理等。

在经济学金字塔的分析中,给出了经济学金字塔模型(如图4-6和4-7所示)。经济学金字塔包含4个层级的均衡。第一层级是两个单一市场的均衡,分别为商品市场的均衡和货币市场的均衡。第二层级是两市场的均衡,即商品市场和货币市场共同达到均衡。第三层级是三市场的均衡,即商品市场,货币市场和政府市场的均衡。第四层级是四市场的均衡,即商品市场,货币市场,政府市场和进出口市场的均衡。国民收入总需求=消费+储蓄+政府消费+进口,即YD=C+S+CG+IM。国民收入总供给=产出+投资+政府投资+出口,即YS=O+I+IS+X。

4-6.jpg

4-6经济学金字塔

4-7.jpg

4-7商品市场和货币市场的均衡

在交易方程式中,给出了交易方程式的推导过程,并且指出费雪方程式是交易方程式的简化。通过交易方程式,分析了货币供给量,需求量等对价格水平的影响,给出了通货膨胀和通货紧缩的模型(如图4-8所示)。

4-8.jpg

4-8交易方程式系统思考图

在凯恩斯主义和弗里德曼的分析中,文中给出了价格水平的定义为:价格水平P等于考察n种物品的价格与数量的乘积之和与n种物品数量之和的比值。

公式4.jpg

并且给出了不同的消费者层次。消费者根据收入水平Y的不同会对应不同需求水平B,收入水平越高,则需求利益B要求越高,越高的利益则对应越高的价格水平P。在消费者类型中,给出了消费最小化,消费最大化和消费适中化三种消费者类型。消费适当化追求的是消费输出速度V的稳定化,米尔顿·弗里德曼的永久收入假说和弗朗科·莫迪利尼亚的生命周期假说都是追求消费速度的稳定化。而凯恩斯的消费函数是随着收入变化的,收入变化越大,消费变化越大,消费速度并不是稳定的。凯恩斯主义的本质是财富转化为知识和暴力的过程,即投资(金钱)转化为知识工作者和暴力(体力)工作者的就业量。凯恩斯主义的投资有一个重要的假设是价格不变,但是投资必定改变价格,这是和他的基础假设相冲突的。凯恩斯主义本身的假设存在问题,增加投资必然倾向于提高价格,而投资也分为有效的投资和无效的投资。

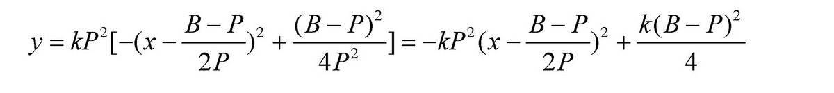
在拉弗曲线的分析中,文中详细分析了拉弗曲线(如图4-9所示),并且给出了拉弗曲线的公式为

公式5.jpg

4-9.jpg

4-9完整拉弗曲线

以及完整的拉弗曲线。当税率x=(B-P)/(2P)时,税收得到最大值为k(B-P)2/4;而当税率为0或者(B-P)/P时,税收为0。

在理性预期学派的分析中,指出理性预期与控制理论中的预测控制的基本原理是相同的,并对二者进行了对比分析。

在萨伊定律,有效需求和就业量的分析中,指出萨伊定律是在需求大于供给时的产物。有效需求与就业量是相互影响的。

在经济周期和经济危机的分析中,指出经济危机是由正反馈作用引起的,并且举例进行了分析。

在市场,企业与广义动量定理中,指出了三者之间的关系。市场的存在是为了交易成果;企业的存在是为了创造成果。从广义动量定理Fαt=MV来说,企业是通过将力量F作用于原材料(作用点),按照预定的方向α,经过一定时间t,生产出成果MV。企业将成果MV拿到市场上交易换取他所需要的成果,市场交易的本质是广义动量的交换,金钱是实现交换的手段,企业也是消费者,他们也需要购买别人的成果。

在自由经济和计划经济中,分析了共享经济中的核心延迟接受算法,并使用配对理论分析了田忌赛马的案例。

经济学为社会的发展提供了优化方法,促进社会达到整体繁荣。

在五种手段中,论述了学习,创新,合作,交易和竞争对经济的影响。熊彼特是第一个提出创新理论的,创新是经济发展的最根本的动力,没有创新,经济最终会停止发展,进入循环流转。5种手段有替代关系。科斯在《企业的性质》中说:“企业的显著特征就是作为价格机制的替代物”。其本质是企业员工的合作可以代替产品通过价格的交易,合作与交易(交换)这两种手段有替代关系,但不是完全替代。日本企业家稻盛和夫的阿米巴经营就是将交易引入企业,各部门之间不是通过力量来合作,而是通过部门之间的交易来完成。


二维码

扫码加我 拉你入群

请注明:姓名-公司-职位

以便审核进群资格,未注明则拒绝

全部回复
2017-8-10 06:16:02
顶一顶
二维码

扫码加我 拉你入群

请注明:姓名-公司-职位

以便审核进群资格,未注明则拒绝

相关推荐
栏目导航
热门文章
推荐文章

说点什么

分享

扫码加好友,拉您进群
各岗位、行业、专业交流群