全部版块 我的主页
论坛 数据科学与人工智能 数据分析与数据科学 数据分析与数据挖掘
1026 0
2017-09-21

数据挖掘算法:决策树的类型和构建决策树



一、决策树的类型

在数据挖掘中,决策树主要有两种类型:

分类树 的输出是样本的类标。

回归树 的输出是一个实数 (例如房子的价格,病人呆在医院的时间等)。

术语分类和回归树 (CART) 包含了上述两种决策树, 最先由Breiman 等提出.分类树和回归树有些共同点和不同点—例如处理在何处分裂的问题。

分类回归树(CART,Classification And RegressionTree)也属于一种决策树,之前我们介绍了基于ID3和C4.5算法的决策树。这里只介绍CART是怎样用于分类的。

分类回归树是一棵二叉树,且每个非叶子节点都有两个孩子,所以对于第一棵子树其叶子节点数比非叶子节点数多1。

CART与ID3区别:

CART中用于选择变量的不纯性度量是Gini指数;

如果目标变量是标称的,并且是具有两个以上的类别,则CART可能考虑将目标类别合并成两个超类别(双化);

如果目标变量是连续的,则CART算法找出一组基于树的回归方程来预测目标变量。

二、构建决策树

构建决策树时通常采用自上而下的方法,在每一步选择一个最好的属性来分裂。 "最好" 的定义是使得子节点中的训练集尽量的纯。不同的算法使用不同的指标来定义"最好"。本部分介绍一中最常见的指标。

有4中不同的不纯度量可以用来发现CART模型的划分,取决于目标变量的类型,对于分类的目标变量,可以选择GINI,双化或有序双化;

对于连续的目标变量,可以使用最小二乘偏差(LSD)或最小绝对偏差(LAD)。
下面我们只讲GINI指数。

GINI指数:

1、是一种不等性度量;
2、通常用来度量收入不平衡,可以用来度量任何不均匀分布;
3、是介于0~1之间的数,0-完全相等,1-完全不相等;
4、总体内包含的类别越杂乱,GINI指数就越大(跟熵的概念很相似)

CART分析步骤

1、从根节点t=1开始,从所有可能候选S集合中搜索使不纯性降低最大的划分S*,然后,使用划分S*将节点1(t=1)划分成两个节点t=2和t=3;

2、在t=2和t=3上分别重复划分搜索过程。

基尼不纯度指标

在CART算法中, 基尼不纯度表示一个随机选中的样本在子集中被分错的可能性。基尼不纯度为这个样本被选中的概率乘以它被分错的概率。当一个节点中所有样本都是一个类时,基尼不纯度为零。

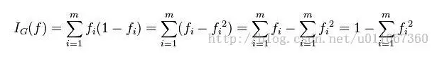
假设y的可能取值为{1, 2,..., m},令fi是样本被赋予i的概率,则基尼指数可以通过如下计算:

QQ截图20170921205504.png



例如:

QQ截图20170921205509.png



上例是属性有8个,每个属性又有多少离散的值可取。在决策树的每一个节点上我们可以按任一个属性的任一个值进行划分。比如最开始我们按:

1)表面覆盖为毛发和非毛发

2)表面覆盖为鳞片和非鳞片

3)体温为恒温和非恒温

等等产生当前节点的左右两个孩子。下面我们按GINI指数划分有:

GINI指数

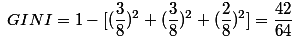
总体内包含的类别越杂乱,GINI指数就越大(跟熵的概念很相似)。比如体温为恒温时包含哺乳类5个、鸟类2个,则:

QQ截图20170921205516.png



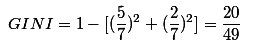
体温为非恒温时包含爬行类3个、鱼类3个、两栖类2个,则

QQ截图20170921205524.png



所以如果按照“体温为恒温和非恒温”进行划分的话,我们得到GINI的增益(类比信息增益):

QQ截图20170921205531.png



最好的划分就是使得GINI_Gain最小的划分。

终止条件

一个节点产生左右孩子后,递归地对左右孩子进行划分即可产生分类回归树。这里的终止条件是什么?什么时候节点就可以停止分裂了?直观的情况,当节点包含的数据记录都属于同一个类别时就可以终止分裂了。这只是一个特例,更一般的情况我们计算χ2值来判断分类条件和类别的相关程度,当χ2很小时说明分类条件和类别是独立的,即按照该分类条件进行分类是没有道理的,此时节点停止分裂。注意这里的“分类条件”是指按照GINI_Gain最小原则得到的“分类条件”。

假如在构造分类回归树的第一步我们得到的“分类条件”是:体温为恒温和非恒温。此时:

QQ截图20170921205537.png



二维码

扫码加我 拉你入群

请注明:姓名-公司-职位

以便审核进群资格,未注明则拒绝

相关推荐
栏目导航
热门文章
推荐文章

说点什么

分享

扫码加好友,拉您进群
各岗位、行业、专业交流群