经管之家App
让优质教育人人可得
立即打开
全部版块
我的主页
›
论坛
›
休闲区 十二区
›
休闲灌水
博弈论基础与应用中贝叶斯均衡求解是不是有错的问题
楼主
zhango3o3
578
0
收藏
2017-10-21
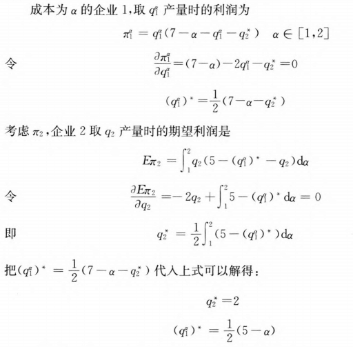
这个是不是求解有错,我带入方程求解之后算出来q2的均衡解是3/2。
扫码加我 拉你入群
请注明:姓名-公司-职位
以便审核进群资格,未注明则拒绝
栏目导航
休闲灌水
学道会
经管高考
经管文库(原现金交易版)
世界经济与国际贸易
行为经济学与实验经济学
热门文章
CDA数据分析师:承接企业数据需求,解锁数据 ...
CDA 认证考试大纲 2025 重磅更新:一二级考 ...
对扩散语言模型开启了一次深度思考
【更新】上市公司党组织参与公司治理包含双 ...
【推荐】上市企业经济政策不确定性感知2001 ...
Gemini准确率从21%飙到97%!谷歌只用了这一 ...
CDA 认证考试大纲 2025 重磅更新:一二级考 ...
智能工厂发展报告(2025年)
如盈财女:1.22黄金还有调整空间,原油回踩 ...
电影《摔跤吧爸爸》中的经典台词
推荐文章
【必看】【本版版规,欢迎发悬赏贴求助】
26年寒假天津站|Gemini论文写作&数据分析 ...
2026JG学术冬训营:从Stata初高到Python机器 ...
关于如何利用文献的若干建议
关于学术研究和论文发表的一些建议
关于科研中如何学习基础知识的一些建议 (一 ...
一个自编的经济学建模小案例 --写给授课本科 ...
AI智能体赋能教学改革: 全国AI教育教学应用 ...
2025中国AIoT产业全景图谱报告-406页
关于文献求助的一些建议
说点什么
分享
微信
QQ空间
QQ
微博
扫码加好友,拉您进群
各岗位、行业、专业交流群